Seneste opdatering :
27/01/2026
anticancer medicin   Etoposide phosphate  
Injektion
Stabilitet i (vandige) opløsninger Stabilitet i blandinger Faktorer der påvirker stabiliteten Kompatibilitet Administrationsvej Bibliografi pdf
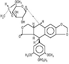
   Kemisk struktur  

Handelsnavn   Handelsnavn     

Handel navne er vejledende og hjælpestoffer sammensætning kan være forskellig afhængigt af landet og laboratorier

Etopofos Grækenland, Sverige, Østrig
Etopophos Belgien, Bulgarien, Frankrig, Holland, Israel, Luxemborg, New Zealand, Polen, Schweiz, Storbritanien, Tyskland, USA
Stabilitet i (vandige) opløsninger   Injektion   Stabilitet i (vandige) opløsninger : Etoposide phosphate     
Beholder Opløsningsmiddel Koncentration Temperatur Konservering Varighed af stabilitet Bibliografi
Glas Vand til injektion 10 & 20 mg/ml 2-8°C Beskyt mod lys
7 Dag
3655
Producentens stabilitet data

Glas Vand til injektion 10 & 20 mg/ml 25°C Lys
96 Time
3655
Producentens stabilitet data

Glas Vand til injektion 10 & 20 mg/ml 37°C Lys
48 Time
3655
Producentens stabilitet data

Glas 0,9 % Natriumklorid > 0,1 mg/ml 2-8°C Beskyt mod lys
7 Dag
3655
Producentens stabilitet data

Glas 0,9 % Natriumklorid > 0,1 mg/ml 25°C Lys
96 Time
3655
Producentens stabilitet data

Glas 0,9 % Natriumklorid > 0,1 mg/ml 37°C Lys
48 Time
3655
Producentens stabilitet data

Glas 0,9 % Natriumklorid 10 & 20 mg/ml 2-8°C Beskyt mod lys
7 Dag
3655
Producentens stabilitet data

Glas 0,9 % Natriumklorid 10 & 20 mg/ml 25°C Lys
96 Time
3655
Producentens stabilitet data

Glas 0,9 % Natriumklorid 10 & 20 mg/ml 37°C Lys
48 Time
3655
Producentens stabilitet data

Glas 5 % Glukose > 0,1 mg/ml 2-8°C Beskyt mod lys
7 Dag
3655
Producentens stabilitet data

Glas 5 % Glukose > 0,1 mg/ml 25°C Lys
96 Time
3655
Producentens stabilitet data

Glas 5 % Glukose > 0,1 mg/ml 37°C Lys
48 Time
3655
Producentens stabilitet data

Glas 5 % Glukose 10 & 20 mg/ml 2-8°C Beskyt mod lys
7 Dag
3655
Producentens stabilitet data

Glas 5 % Glukose 10 & 20 mg/ml 25°C Lys
96 Time
3655
Producentens stabilitet data

Glas 5 % Glukose 10 & 20 mg/ml 37°C Lys
48 Time
3655
Producentens stabilitet data

Polyvinylklorid 0,9 % Natriumklorid > 0,1 mg/ml 2-8°C Beskyt mod lys
7 Dag
3655
Producentens stabilitet data

Polyvinylklorid 0,9 % Natriumklorid > 0,1 mg/ml 25°C Lys
96 Time
3655
Producentens stabilitet data

Polyvinylklorid 0,9 % Natriumklorid > 0,1 mg/ml 37°C Lys
48 Time
3655
Producentens stabilitet data

Polyvinylklorid 0,9 % Natriumklorid 0,1 & 10 mg/ml 23°C Ikke nærmere angivet
31 Dag
1411
Level af bevismateriale B+

Polyvinylklorid 0,9 % Natriumklorid 0,1 & 10 mg/ml 32°C Ikke nærmere angivet
7 Dag
1411
Level af bevismateriale B+

Polyvinylklorid 0,9 % Natriumklorid 0,1 & 10 mg/ml 4°C Beskyt mod lys
31 Dag
1411
Level af bevismateriale B+

Polyvinylklorid 5 % Glukose > 0,1 mg/ml 2-8°C Beskyt mod lys
7 Dag
3655
Producentens stabilitet data

Polyvinylklorid 5 % Glukose > 0,1 mg/ml 25°C Lys
96 Time
3655
Producentens stabilitet data

Polyvinylklorid 5 % Glukose > 0,1 mg/ml 37°C Lys
48 Time
3655
Producentens stabilitet data

Polyvinylklorid 5 % Glukose 0,1 & 10 mg/ml 23°C Ikke nærmere angivet
31 Dag
1411
Level af bevismateriale B+

Polyvinylklorid 5 % Glukose 0,1 & 10 mg/ml 32°C Ikke nærmere angivet
7 Dag
1411
Level af bevismateriale B+

Polyvinylklorid 5 % Glukose 0,1 & 10 mg/ml 4°C Beskyt mod lys
31 Dag
1411
Level af bevismateriale B+

Polyolefin 0,9 % Natriumklorid > 0,1 mg/ml 2-8°C Beskyt mod lys
7 Dag
3655
Producentens stabilitet data

Polyolefin 0,9 % Natriumklorid > 0,1 mg/ml 25°C Lys
96 Time
3655
Producentens stabilitet data

Polyolefin 0,9 % Natriumklorid > 0,1 mg/ml 37°C Lys
48 Time
3655
Producentens stabilitet data

Polyolefin 5 % Glukose > 0,1 mg/ml 2-8°C Beskyt mod lys
7 Dag
3655
Producentens stabilitet data

Polyolefin 5 % Glukose > 0,1 mg/ml 25°C Lys
96 Time
3655
Producentens stabilitet data

Polyolefin 5 % Glukose > 0,1 mg/ml 37°C Lys
48 Time
3655
Producentens stabilitet data

sprøjte polypropylen Vand til injektion + antibakteriel 10 & 20 mg/ml 23°C Ikke nærmere angivet
31 Dag
1411
Level af bevismateriale B+

sprøjte polypropylen Vand til injektion + antibakteriel 10 & 20 mg/ml 32°C Ikke nærmere angivet
7 Dag
1411
Level af bevismateriale B+

sprøjte polypropylen Vand til injektion + antibakteriel 10 & 20 mg/ml 4°C Beskyt mod lys
31 Dag
1411
Level af bevismateriale B+


  Mentions Légales