Останнє оновлення :
27/04/2026
Антибіотик   Netilmicin sulfate  
ін'єкція
аерозоль
Стійкість в розчинах Стійкість сумішей Фактори, що впливають на стабільність Сумісність Шлях введення Список літератури pdf
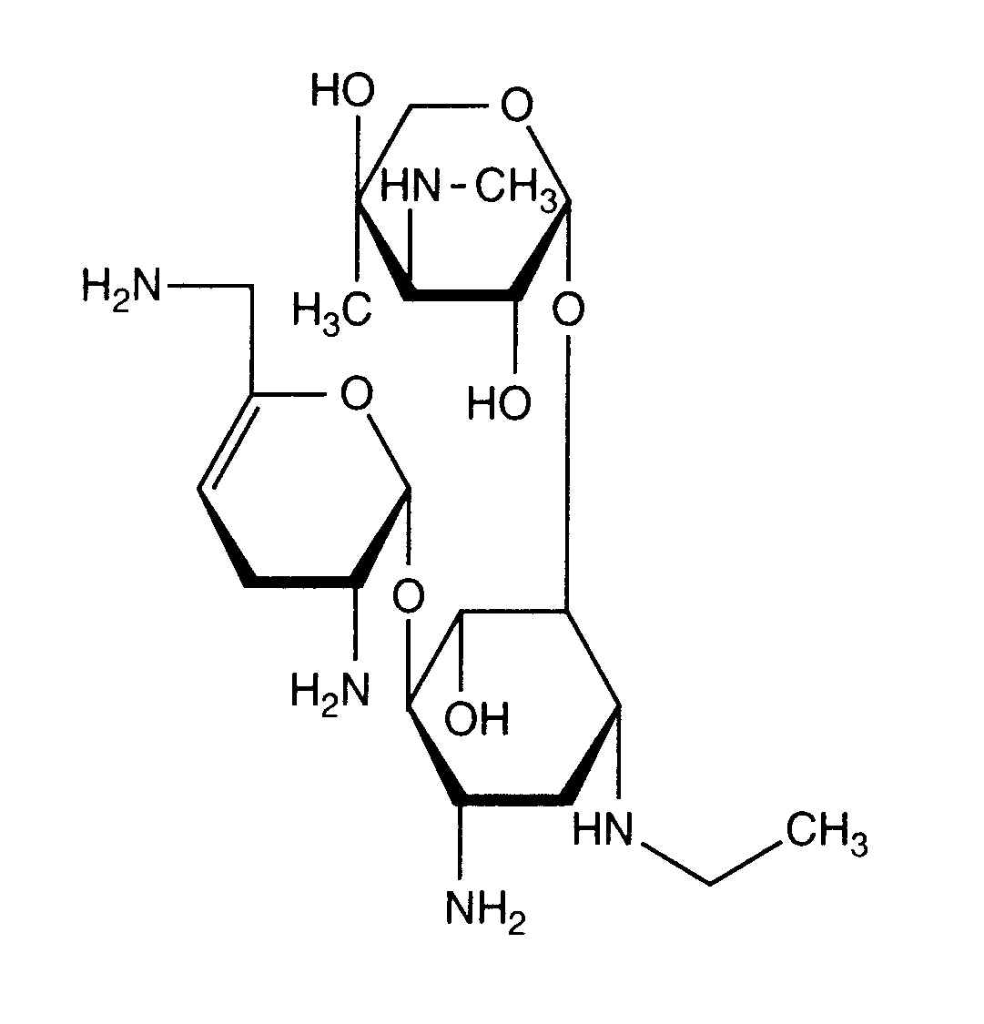
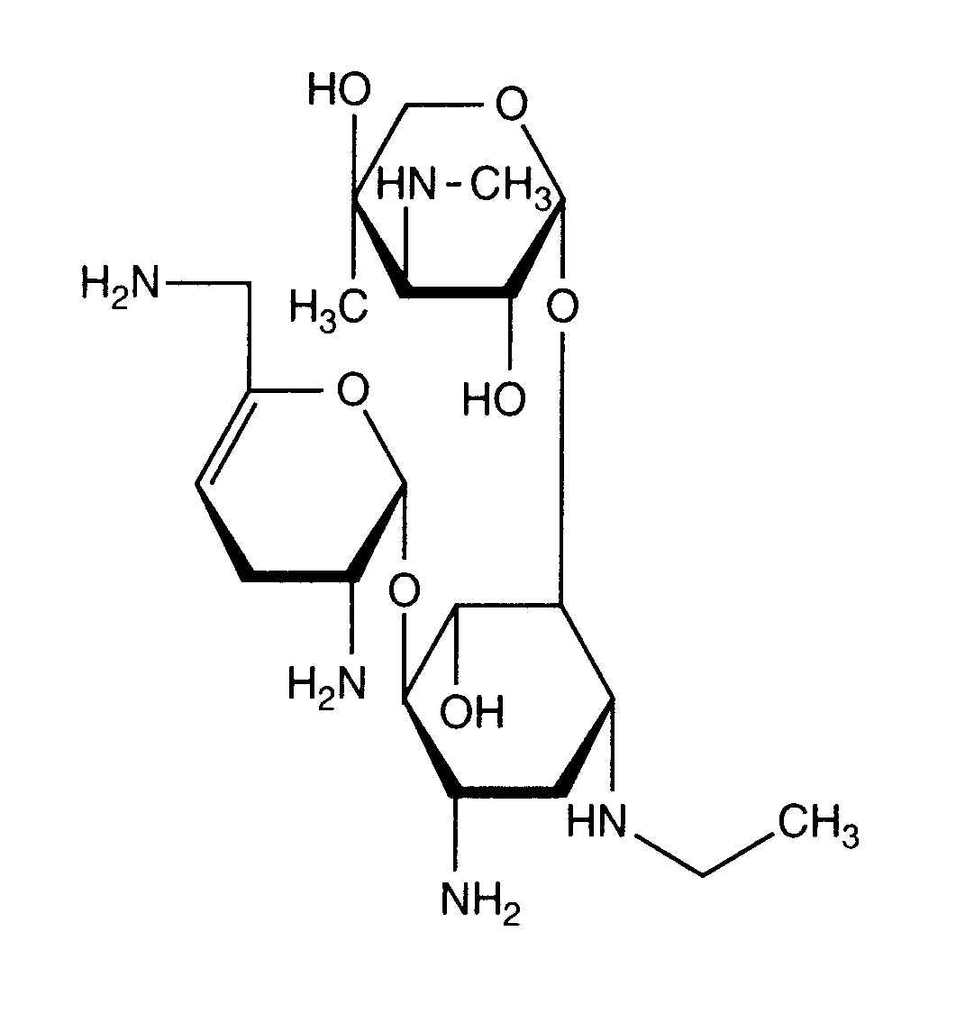
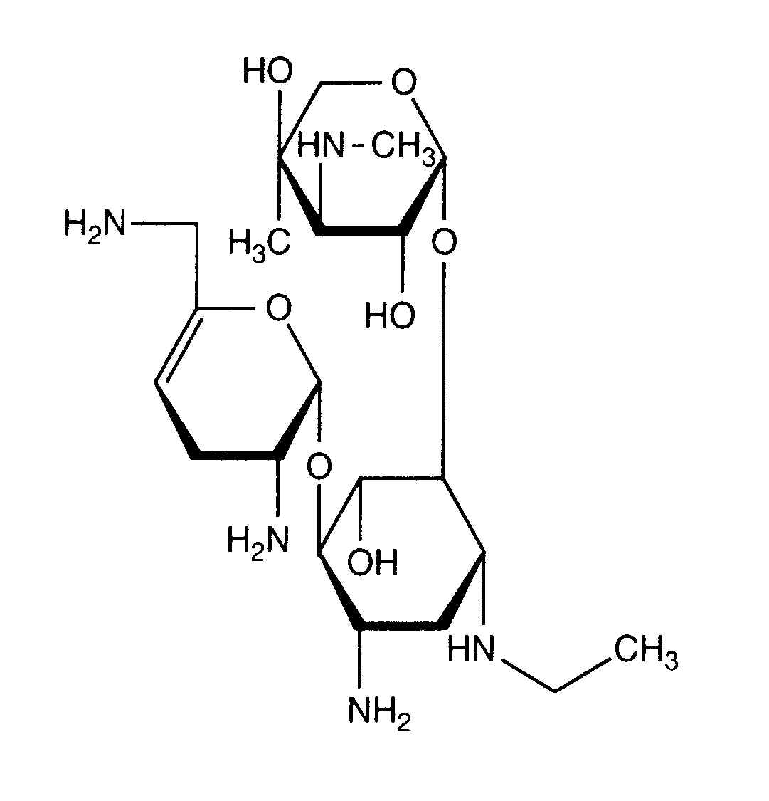
   Хімічна структура  

Торгова назва   Торгова назва     

Торгові назви є орієнтовними, а склад допоміжних речовин може бути різним залежно від країни та виробника

Bactob Індія
Beltob Індія
Bramicil Італія
Brulamycin Угорщина
Eltol Індія
Fytobra Індія
Gernebcin Німеччина
Komitub Індія
Nebcin Єгипет, Австралія, Великобританія, Греція, Нова Зеландія, Об'єднані Арабські Емірати, Саудівська Аравія
Nebcina Данія, Марокко, Норвегія, Швеція
Nebcine Марокко
Nebicina Італія
Netilyn Фінляндія, Швеція
Netromicina Португалія
Netromicine Франція
Netromycine Греція, Польща, російський, Туреччина
Nettacin Італія
Obracin Бельгія, Люксембург, Нідерланди, Швейцарія
Tobra Німеччина
Tobra Alex Єгипет
Tobra Day Нова Зеландія
Tobra Gobens Іспанія
Tobracin Єгипет
Tobradistin Іспанія
Tobramicina Іспанія, Італія, Венесуела, Португалія
Tobramina Бразилія
Tobramycin Ірландія, Австралія, Великобританія, Канада, Німеччина, Норвегія, Саудівська Аравія, Сполучені Штати Америки
Tobramycine Ірландія, Нідерланди, Франція
Tobrasix Австрія
Tobrazid Німеччина
Tomycin Фінляндія
Zetamicin Італія
Стійкість в розчинах   ін'єкція   Стійкість в розчинах : Netilmicin sulfate     
Контейнер Розчинник Концентрація температура Зберігання Тривалість стабільності Список літератури
скло Вода для ін'єкцій 3 mg/ml 25°C Не визначено
7 День
1200
Біологічний аналіз

скло Вода для ін'єкцій 3 mg/ml 4°C Берегти від світла
7 День
1200
Біологічний аналіз

скло Натрію хлорид 0,9% 3 mg/ml 24°C світло
24 годину
421
Джокер

скло Натрію хлорид 0,9% 3 mg/ml 25°C Не визначено
7 День
1200
Біологічний аналіз

скло Натрію хлорид 0,9% 3 mg/ml 4°C Берегти від світла
7 День
1200
Біологічний аналіз

скло Глюкоза 5% 3 mg/ml 24°C світло
24 годину
421
Джокер

скло Глюкоза 5% 3 mg/ml 25°C Не визначено
7 День
1200
Біологічний аналіз

скло Глюкоза 5% 3 mg/ml 4°C Берегти від світла
7 День
1200
Біологічний аналіз

скло Розчин лактату Рінгера 3 mg/ml 25°C Не визначено
7 День
1200
Біологічний аналіз

скло Розчин лактату Рінгера 3 mg/ml 4°C Берегти від світла
7 День
1200
Біологічний аналіз

скло Натрію хлорид 3% 3 mg/ml 25°C Не визначено
7 День
1200
Біологічний аналіз

скло Натрію хлорид 3% 3 mg/ml 4°C Берегти від світла
7 День
1200
Біологічний аналіз

скло Глюкоза 10% 3 mg/ml 25°C Не визначено
7 День
1200
Біологічний аналіз

скло Глюкоза 10% 3 mg/ml 4°C Берегти від світла
7 День
1200
Біологічний аналіз

Полівініл хлорид Натрію хлорид 0,9% 3 mg/ml 24°C світло
24 годину
421
Джокер

Полівініл хлорид Глюкоза 5% 3 mg/ml 24°C світло
24 годину
421
Джокер

Поліпропіленовий шприц Жодного 10 mg/ml 25°C Берегти від світла
9 День
1929
Рівень доказовості B

Поліпропіленовий шприц Жодного 10 & 100 mg/ml 7°C Берегти від світла
90 День
1929
Рівень доказовості B

Поліпропіленовий шприц Жодного 100 mg/ml 25°C Берегти від світла
30 День
1929
Рівень доказовості B


  Mentions Légales