viimane versioon :
27/04/2026
antibiootikum   Netilmicin sulfate  
Süsteravim
aerosool
Stabiilsus lahustes Stabiilsust mõjutavad tegurid stabiilsust mõjutavad faktorid Sobimatus Manustamis viis Viited pdf
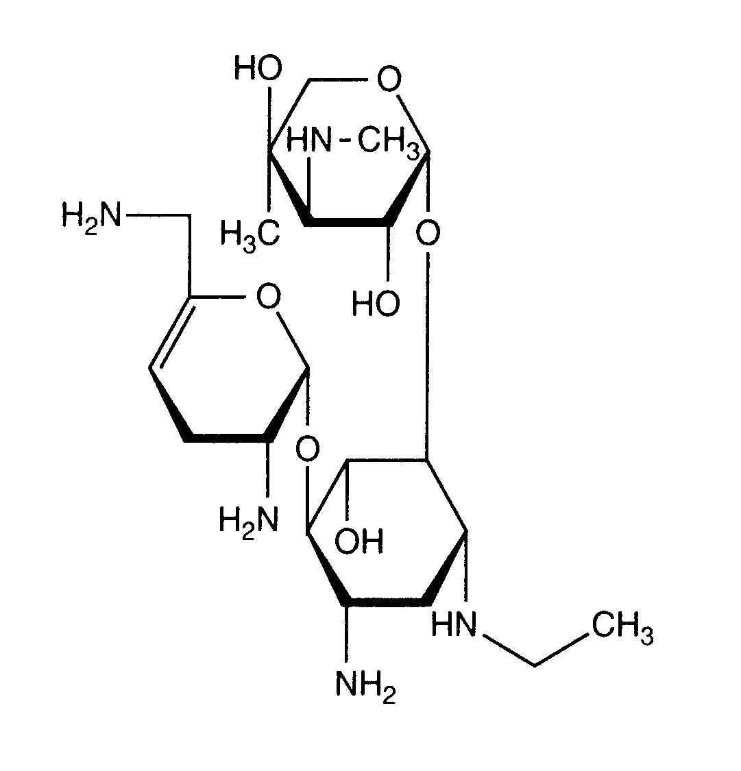
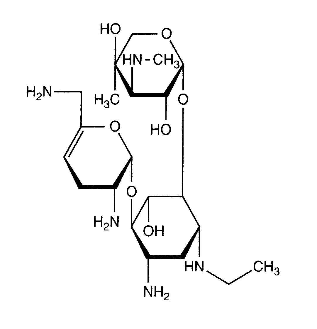
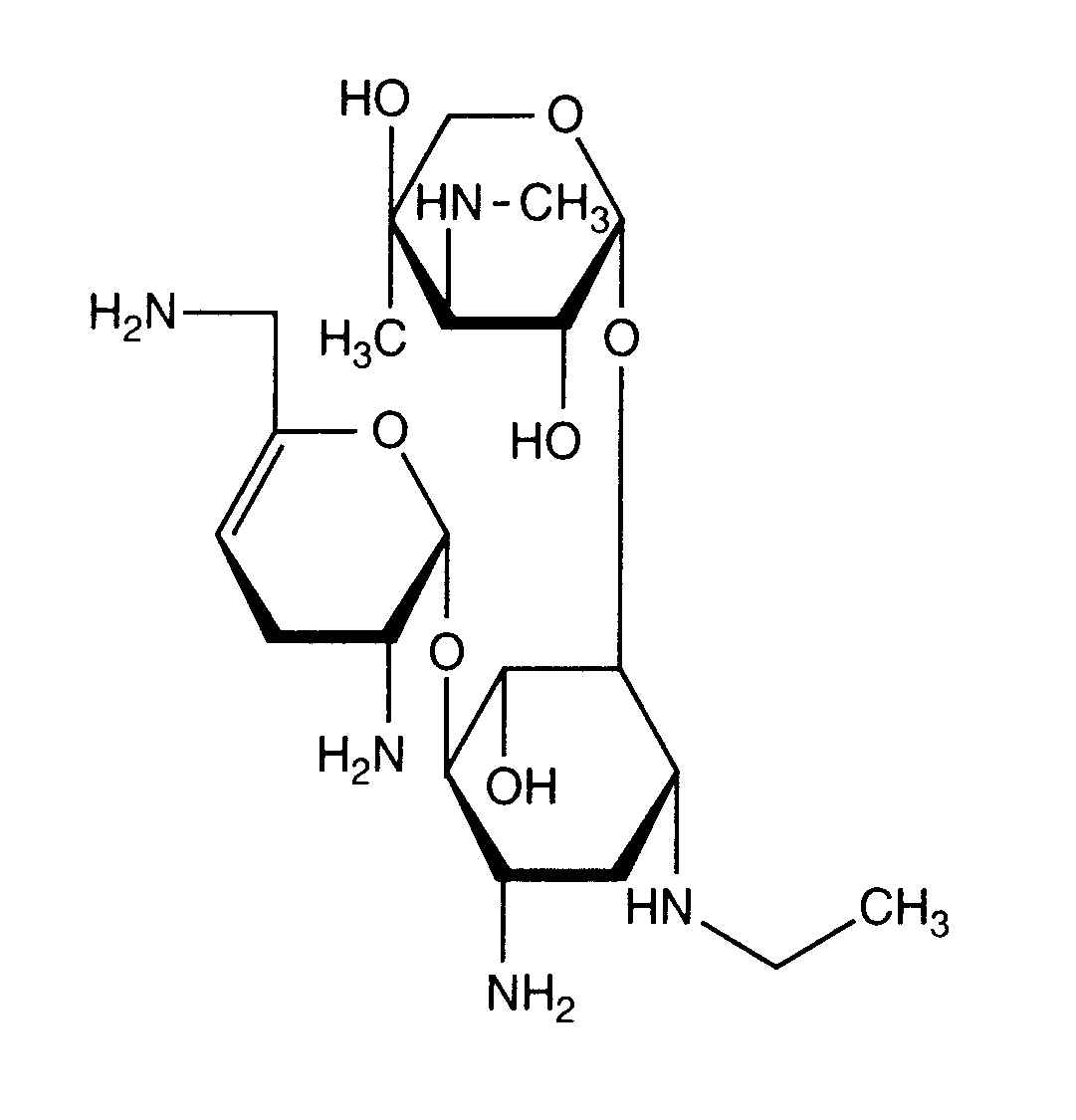
   keemiline struktuur  

Kaubanduslikud nimed erinevates maades   Kaubanduslikud nimed erinevates maades     

Preparaatide nimed on näitlikud ja abianete sisaldus võib erineda sõltuvalt riigist ja laborist

Bactob India
Beltob India
Bramicil Itaalia
Brulamycin Ungari
Eltol India
Fytobra India
Gernebcin Saksamaa
Komitub India
Nebcin Araabia Ühendemiraadid, Austraalia, Egiptus, Kreeka, Saudi Araabia, Suurbritannia, uus-Meremaa
Nebcina Maroko, Norra, Rootsi, Taani
Nebcine Maroko
Nebicina Itaalia
Netilyn Rootsi, Soome
Netromicina Portugal
Netromicine Prantsusmaa
Netromycine Kreeka, Poola, Türgi, vene
Nettacin Itaalia
Obracin Belgia, Holland, Luksemburg, Sveits
Tobra Saksamaa
Tobra Alex Egiptus
Tobra Day uus-Meremaa
Tobra Gobens Hispaania
Tobracin Egiptus
Tobradistin Hispaania
Tobramicina Hispaania, Itaalia, Portugal, Venetsueela
Tobramina Brasiilia
Tobramycin Ameerika ühendriigid, Austraalia, Iirimaa, Kanada, Norra, Saksamaa, Saudi Araabia, Suurbritannia
Tobramycine Holland, Iirimaa, Prantsusmaa
Tobrasix Austria
Tobrazid Saksamaa
Tomycin Soome
Zetamicin Itaalia
Stabiilsus lahustes   Süsteravim   Stabiilsus lahustes : Netilmicin sulfate     
konteiner lahusti kontsentratsioon temperatuur ladustamine Stabiilsuse kestus Viited
klaas süstevesi 3 mg/ml 25°C pole täpsustatud
7 päev
1200
Bioloogiline analüüs

klaas süstevesi 3 mg/ml 4°C kaitsta valguse eest
7 päev
1200
Bioloogiline analüüs

klaas naatriumkloriid 0.9% 3 mg/ml 24°C valgus
24 Tund
421
Jokker

klaas naatriumkloriid 0.9% 3 mg/ml 25°C pole täpsustatud
7 päev
1200
Bioloogiline analüüs

klaas naatriumkloriid 0.9% 3 mg/ml 4°C kaitsta valguse eest
7 päev
1200
Bioloogiline analüüs

klaas glükoos 5% 3 mg/ml 24°C valgus
24 Tund
421
Jokker

klaas glükoos 5% 3 mg/ml 25°C pole täpsustatud
7 päev
1200
Bioloogiline analüüs

klaas glükoos 5% 3 mg/ml 4°C kaitsta valguse eest
7 päev
1200
Bioloogiline analüüs

klaas Ringer laktaat 3 mg/ml 25°C pole täpsustatud
7 päev
1200
Bioloogiline analüüs

klaas Ringer laktaat 3 mg/ml 4°C kaitsta valguse eest
7 päev
1200
Bioloogiline analüüs

klaas naatriumkloriid 3% 3 mg/ml 25°C pole täpsustatud
7 päev
1200
Bioloogiline analüüs

klaas naatriumkloriid 3% 3 mg/ml 4°C kaitsta valguse eest
7 päev
1200
Bioloogiline analüüs

klaas glükoos 10% 3 mg/ml 25°C pole täpsustatud
7 päev
1200
Bioloogiline analüüs

klaas glükoos 10% 3 mg/ml 4°C kaitsta valguse eest
7 päev
1200
Bioloogiline analüüs

polüvinüülkloriid naatriumkloriid 0.9% 3 mg/ml 24°C valgus
24 Tund
421
Jokker

polüvinüülkloriid glükoos 5% 3 mg/ml 24°C valgus
24 Tund
421
Jokker

süstal  polüpropüleenist mitte ükski 10 mg/ml 25°C kaitsta valguse eest
9 päev
1929
Tõenduspõhisuse tase B

süstal  polüpropüleenist mitte ükski 10 & 100 mg/ml 7°C kaitsta valguse eest
90 päev
1929
Tõenduspõhisuse tase B

süstal  polüpropüleenist mitte ükski 100 mg/ml 25°C kaitsta valguse eest
30 päev
1929
Tõenduspõhisuse tase B


  Mentions Légales