Letztes “update” :
27/04/2026
Antibiotikum   Netilmicin sulfate  
Injektion
Aerosol
Stabilität der Lösung Gemengestabilität Stabilitätbeeinflussende Faktoren Kompatibilitäten Applikationsart Literaturverzeichnis pdf
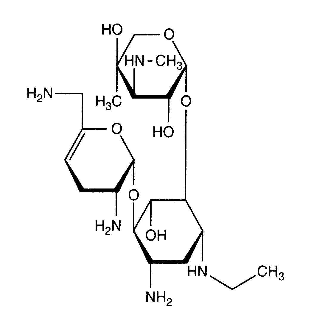
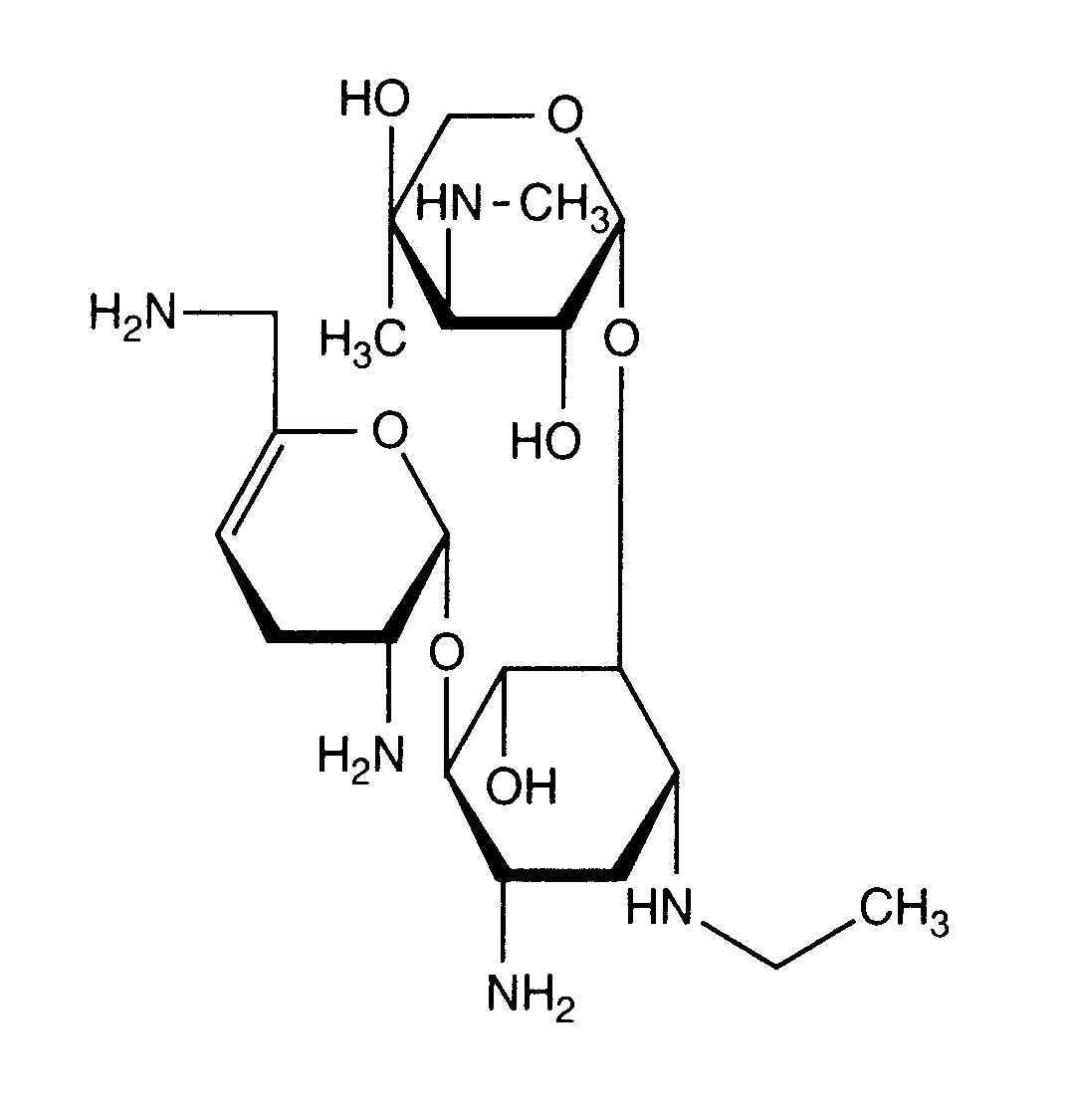
   Chemische Struktur  

Handelsmarke   Handelsmarke     

Handelsnamen sind als beispielhaft anzusehen. Sonstige Bestandteile können je nach Hersteller oder Land verschieden sein

Bactob Indien
Beltob Indien
Bramicil Italien
Brulamycin Ungarn
Eltol Indien
Fytobra Indien
Gernebcin Deutschland
Komitub Indien
Nebcin Ägypten, Australien, Griechenland, Großbritannien, Neuseeland, Saudi-Arabien, Vereinigte Arabische Emirate
Nebcina Dänemark, Marokko, Norwegen, Schweden
Nebcine Marokko
Nebicina Italien
Netilyn Finnland, Schweden
Netromicina Portugal
Netromicine Frankreich
Netromycine Griechenland, Polen, russisch, Türkei
Nettacin Italien
Obracin Belgien, Luxemburg, Niederlande, Schweiz
Tobra Deutschland
Tobra Alex Ägypten
Tobra Day Neuseeland
Tobra Gobens Spanien
Tobracin Ägypten
Tobradistin Spanien
Tobramicina Italien, Portugal, Spanien, Venezuela
Tobramina Brasilien
Tobramycin Australien, Deutschland, Großbritannien, Irland, Kanada, Norwegen, Saudi-Arabien, Vereinigte Staaten von Amerika
Tobramycine Frankreich, Irland, Niederlande
Tobrasix Österreich
Tobrazid Deutschland
Tomycin Finnland
Zetamicin Italien
Stabilität der Lösung   Injektion   Stabilität der Lösung : Netilmicin sulfate     
Behälter Lösungsmittel Konzentration Temperatur Konservierung Dauer der Stabilität Literaturverzeichnis
Glas Wasser für injektable präparate 3 mg/ml 25°C Nicht genau angegeben
7 Tag
1200
Biologische Analysen

Glas Wasser für injektable präparate 3 mg/ml 4°C Ohne Licht
7 Tag
1200
Biologische Analysen

Glas 0,9% Natriumchlorid 3 mg/ml 24°C Licht
24 Stunde
421
Joker

Glas 0,9% Natriumchlorid 3 mg/ml 25°C Nicht genau angegeben
7 Tag
1200
Biologische Analysen

Glas 0,9% Natriumchlorid 3 mg/ml 4°C Ohne Licht
7 Tag
1200
Biologische Analysen

Glas 5% Glucose 3 mg/ml 24°C Licht
24 Stunde
421
Joker

Glas 5% Glucose 3 mg/ml 25°C Nicht genau angegeben
7 Tag
1200
Biologische Analysen

Glas 5% Glucose 3 mg/ml 4°C Ohne Licht
7 Tag
1200
Biologische Analysen

Glas Ringer Lactat - Lösung 3 mg/ml 25°C Nicht genau angegeben
7 Tag
1200
Biologische Analysen

Glas Ringer Lactat - Lösung 3 mg/ml 4°C Ohne Licht
7 Tag
1200
Biologische Analysen

Glas 3% Natriumchlorid 3 mg/ml 25°C Nicht genau angegeben
7 Tag
1200
Biologische Analysen

Glas 3% Natriumchlorid 3 mg/ml 4°C Ohne Licht
7 Tag
1200
Biologische Analysen

Glas 10% Glucose 3 mg/ml 25°C Nicht genau angegeben
7 Tag
1200
Biologische Analysen

Glas 10% Glucose 3 mg/ml 4°C Ohne Licht
7 Tag
1200
Biologische Analysen

Polyvinylchlorid 0,9% Natriumchlorid 3 mg/ml 24°C Licht
24 Stunde
421
Joker

Polyvinylchlorid 5% Glucose 3 mg/ml 24°C Licht
24 Stunde
421
Joker

 Spritze Polypropylen Kein 10 mg/ml 25°C Ohne Licht
9 Tag
1929
Evidenzgrad B

 Spritze Polypropylen Kein 10 & 100 mg/ml 7°C Ohne Licht
90 Tag
1929
Evidenzgrad B

 Spritze Polypropylen Kein 100 mg/ml 25°C Ohne Licht
30 Tag
1929
Evidenzgrad B


  Mentions Légales