Dernière mise à jour :
27/01/2026
Antibiotique   Netilmicin sulfate  
injectable
Aérosol
Stabilité des solutions Stabilité en mélange Facteur influençant la stabilité Compatibilités Voie d’administration Bibliographie pdf
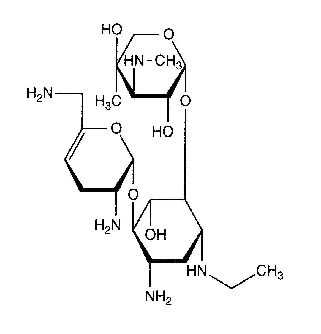
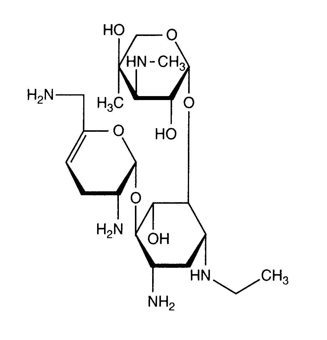
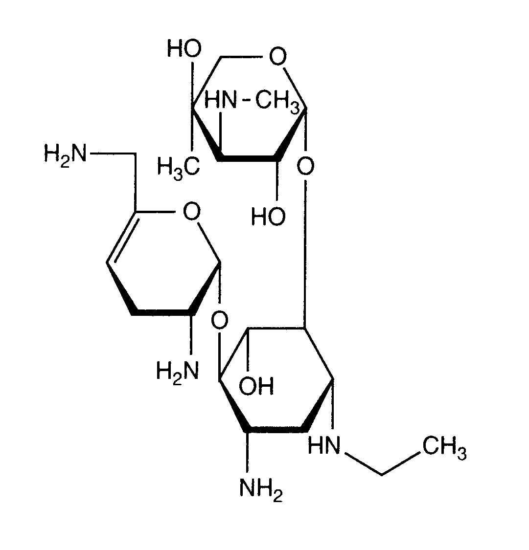
   Structure chimique  

Noms commerciaux   Noms commerciaux     

Les noms commerciaux sont donnés à titre indicatif et la composition en excipients peut être différente selon les pays et selon les laboratoires

Bactob Inde
Beltob Inde
Bramicil Italie
Brulamycin Hongrie
Eltol Inde
Fytobra Inde
Gernebcin Allemagne
Komitub Inde
Nebcin Arabie Saoudite, Australie, Egypte, Emirats Arabes Unis , Grande Bretagne, Grèce, Nouvelle Zélande
Nebcina Danemark, Maroc, Norvège, Suède
Nebcine Maroc
Nebicina Italie
Netilyn Finlande, Suède
Netromicina Portugal
Netromicine France
Netromycine Grèce, Pologne, Russie, Turquie
Nettacin Italie
Obracin Belgique, Luxembourg, Pays bas, Suisse
Tobra Allemagne
Tobra Alex Egypte
Tobra Day Nouvelle Zélande
Tobra Gobens Espagne
Tobracin Egypte
Tobradistin Espagne
Tobramicina Espagne, Italie, Portugal, Vénézuela
Tobramina Brésil
Tobramycin Allemagne, Arabie Saoudite, Australie, Canada, Etats Unis d’Amérique, Grande Bretagne, Irlande, Norvège
Tobramycine France, Irlande, Pays bas
Tobrasix Autriche
Tobrazid Allemagne
Tomycin Finlande
Zetamicin Italie
Stabilité des solutions   injectable   Stabilité des solutions : Netilmicin sulfate     
Contenant Solvant Concentration Température Conservation Durée de stabilité Bibliographie
Verre Eau pour préparation injectable 3 mg/ml 25°C Non précisée
7 Jour
1200
Méthode biologique

Verre Eau pour préparation injectable 3 mg/ml 4°C A l’abri de la lumière
7 Jour
1200
Méthode biologique

Verre Chlorure de sodium 0,9% 3 mg/ml 24°C Lumière
24 Heure
421
JOKER

Verre Chlorure de sodium 0,9% 3 mg/ml 25°C Non précisée
7 Jour
1200
Méthode biologique

Verre Chlorure de sodium 0,9% 3 mg/ml 4°C A l’abri de la lumière
7 Jour
1200
Méthode biologique

Verre Glucose 5% 3 mg/ml 24°C Lumière
24 Heure
421
JOKER

Verre Glucose 5% 3 mg/ml 25°C Non précisée
7 Jour
1200
Méthode biologique

Verre Glucose 5% 3 mg/ml 4°C A l’abri de la lumière
7 Jour
1200
Méthode biologique

Verre Ringer lactate 3 mg/ml 25°C Non précisée
7 Jour
1200
Méthode biologique

Verre Ringer lactate 3 mg/ml 4°C A l’abri de la lumière
7 Jour
1200
Méthode biologique

Verre Chlorure de sodium 3% 3 mg/ml 25°C Non précisée
7 Jour
1200
Méthode biologique

Verre Chlorure de sodium 3% 3 mg/ml 4°C A l’abri de la lumière
7 Jour
1200
Méthode biologique

Verre Glucose 10% 3 mg/ml 25°C Non précisée
7 Jour
1200
Méthode biologique

Verre Glucose 10% 3 mg/ml 4°C A l’abri de la lumière
7 Jour
1200
Méthode biologique

Polyvinyl chlorure Chlorure de sodium 0,9% 3 mg/ml 24°C Lumière
24 Heure
421
JOKER

Polyvinyl chlorure Glucose 5% 3 mg/ml 24°C Lumière
24 Heure
421
JOKER

Seringue polypropylène Aucun 10 mg/ml 25°C A l’abri de la lumière
9 Jour
1929
Niveau de preuve B

Seringue polypropylène Aucun 10 & 100 mg/ml 7°C A l’abri de la lumière
90 Jour
1929
Niveau de preuve B

Seringue polypropylène Aucun 100 mg/ml 25°C A l’abri de la lumière
30 Jour
1929
Niveau de preuve B


  Mentions Légales