最新更新 :
27/04/2026
抗生素   Netilmicin sulfate  
注射液
气雾剂
溶液稳定性 混合物稳定性 影响稳定性的因素 兼容性 用药途径 引用文献 PDF
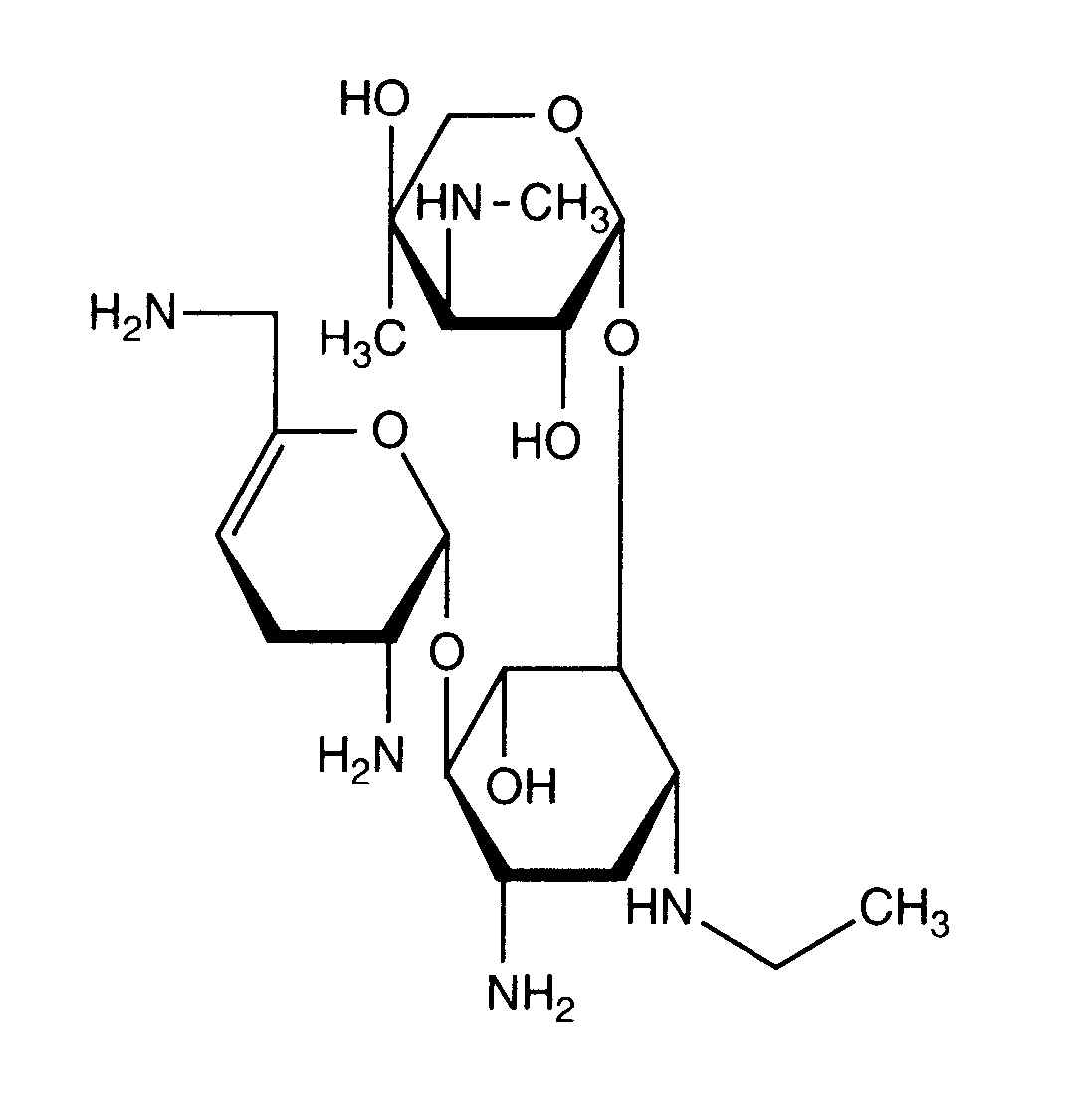
   化学式  

商品名   商品名     

商品名仅供参考, 药品所用的辅料可能依国家或厂商不同有所不同。

Bactob 印度
Beltob 印度
Bramicil 意大利
Brulamycin 匈牙利
Eltol 印度
Fytobra 印度
Gernebcin 德国
Komitub 印度
Nebcin 埃及, 希腊, 新西蘭, 沙特阿拉伯, 澳大利亚, 英国, 阿联酋
Nebcina 丹麦, 挪威, 摩洛哥, 瑞典
Nebcine 摩洛哥
Nebicina 意大利
Netilyn 瑞典, 芬兰
Netromicina 葡萄牙
Netromicine 法国
Netromycine 俄罗斯, 土耳其, 希腊, 波兰
Nettacin 意大利
Obracin 卢森堡, 比利时, 瑞士, 荷兰
Tobra 德国
Tobra Alex 埃及
Tobra Day 新西蘭
Tobra Gobens 西班牙
Tobracin 埃及
Tobradistin 西班牙
Tobramicina 委内瑞拉, 意大利, 葡萄牙, 西班牙
Tobramina 巴西
Tobramycin 加拿大, 德国, 挪威, 沙特阿拉伯, 澳大利亚, 爱尔兰, 美国, 英国
Tobramycine 法国, 爱尔兰, 荷兰
Tobrasix 奥地利
Tobrazid 德国
Tomycin 芬兰
Zetamicin 意大利
溶液稳定性   注射液   溶液稳定性 : Netilmicin sulfate     
容器 溶剂 浓度 温度 保存 穩定持續時間 引用文献
玻璃 注射用水 3 mg/ml 25°C 无特殊要求
7 白天
1200
生物检测

玻璃 注射用水 3 mg/ml 4°C 避光
7 白天
1200
生物检测

玻璃 NaCl 0,9% 3 mg/ml 24°C 光
24 小时
421
Joker

玻璃 NaCl 0,9% 3 mg/ml 25°C 无特殊要求
7 白天
1200
生物检测

玻璃 NaCl 0,9% 3 mg/ml 4°C 避光
7 白天
1200
生物检测

玻璃 葡萄糖5% 3 mg/ml 24°C 光
24 小时
421
Joker

玻璃 葡萄糖5% 3 mg/ml 25°C 无特殊要求
7 白天
1200
生物检测

玻璃 葡萄糖5% 3 mg/ml 4°C 避光
7 白天
1200
生物检测

玻璃 Ringer乳酸溶液 3 mg/ml 25°C 无特殊要求
7 白天
1200
生物检测

玻璃 Ringer乳酸溶液 3 mg/ml 4°C 避光
7 白天
1200
生物检测

玻璃 NaCl 3% 3 mg/ml 25°C 无特殊要求
7 白天
1200
生物检测

玻璃 NaCl 3% 3 mg/ml 4°C 避光
7 白天
1200
生物检测

玻璃 葡萄糖10% 3 mg/ml 25°C 无特殊要求
7 白天
1200
生物检测

玻璃 葡萄糖10% 3 mg/ml 4°C 避光
7 白天
1200
生物检测

聚氯乙烯 NaCl 0,9% 3 mg/ml 24°C 光
24 小时
421
Joker

聚氯乙烯 葡萄糖5% 3 mg/ml 24°C 光
24 小时
421
Joker

注射器  聚丙烯 无 10 mg/ml 25°C 避光
9 白天
1929
B级

注射器  聚丙烯 无 10 & 100 mg/ml 7°C 避光
90 白天
1929
B级

注射器  聚丙烯 无 100 mg/ml 25°C 避光
30 白天
1929
B级


  Mentions Légales