Última actualización :
27/04/2026
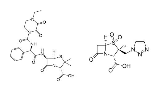
Antibiótico   Piperacillin sodium / tazobactam  
Inyectables
Estabilidad en solucion Estabilidad en mezcla Factores que influyen sobre la estabilidad Compatibilidades método de inyección Bibliografía pdf
   Estructura química  

Nombre comercial   Nombre comercial     

Los nombres comerciales son orientativos y los excipientes de la formulación pueden ser distintos dependiendo del país y del laboratorio fabricante.

Bagotaz Argentina
Betampil Ecuador
Bioval Chile
Petezam Argentina
Piperac Alemania
Piperacillin tazobactam Alemania, Bélgica, Canadá
Piperazam Brasil
Pipetazo Chile
Pipitaz Austria
Pixamol Colombia
Tazobac Ecuador, Italia, Portugal, Suiza
Tazocel España
Tazocilline Francia
Tazocin Argentina, Australia, Brasil, Colombia, Croacia, Dinamarca, Egipto, Emiratos Árabes Unidos, Finlandia, Gran Bretaña, Grecia, Hungría, Irlanda del norte, Italia, Luxemburgo, Marruecos, México, Noruega, Nueva Zelanda, Países Bajos, Polonia, Sudafrica, Suecia, Turquía
Tazonam Austria, Chile
Tazopip Australia
Tazpen Colombia, México
Tazrobida Colombia
Tigux Chile
Tratac Chile
Trital Ecuador
Zosyn Estados Unidos de América, Japón

Factores que influyen sobre la estabilidad   Inyectables   Factores que influyen sobre la estabilidad : Piperacillin sodium / tazobactam        

  Mentions Légales