Ultimele actualizari :
27/04/2026
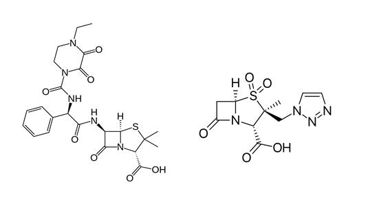
Antibiotic   Piperacillin sodium / tazobactam  
Injectabil
Stabilitatea in solutie Stabilitatea in amestec Factorii care influenteaza stabilitatea Compatibilitate Microunde Bibliografie pdf
   Formula chimica  

Denumirea comerciala   Denumirea comerciala     

Trade names are indicative and excipients composition can be different depending on the country and manufacturers

Bagotaz Argentina
Betampil Ecuador
Bioval Chilli
Petezam Argentina
Piperac Germania
Piperacillin tazobactam Belgia, Canada, Germania
Piperazam Brazilia
Pipetazo Chilli
Pipitaz Austria
Pixamol Columbia
Tazobac Ecuador, Elvetia, Italia, Portugalia
Tazocel Spania
Tazocilline Franta
Tazocin Africa de Sud, Argentina, Australia, Brazilia, Columbia, Croatia, Danemarca, Egipt, Emiratele Arabe Unite, Finlanda, Grecia, Irlanda de Nord, Italia, Luxemburg, Marea Britanie, Mexic, Norvegia, noua Zeelandă, Olanda, Peru, Polonia, Suedia, Turcia, Ungaria
Tazonam Austria, Chilli
Tazopip Australia
Tazpen Columbia, Mexic
Tazrobida Columbia
Tigux Chilli
Tratac Chilli
Trital Ecuador
Zosyn Japonia, SUA

Factorii care influenteaza stabilitatea   Injectabil   Factorii care influenteaza stabilitatea : Piperacillin sodium / tazobactam        

  Mentions Légales