Siste oppdatering :
27/04/2026
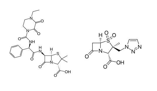
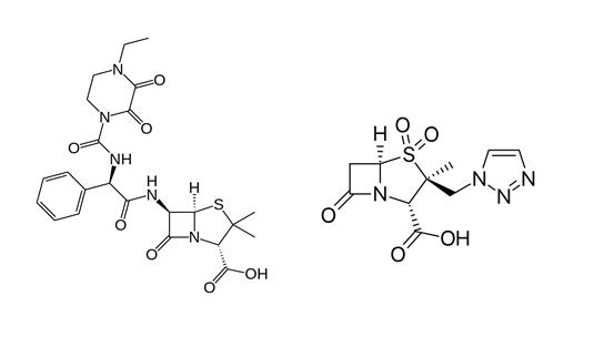
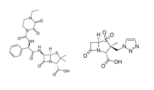
Antibiotika   Piperacillin sodium / tazobactam  
Injeksjon
Oppløsningsstabilitet Stabilitet i blandinger Faktorer som påvirker stabiliteten Kompatibilitet Administrasjonsmåte Referanser pdf
   Kjemisk struktur  

Handelsnavn   Handelsnavn     

Handelsnavn er veiledende og sammensetning av hjelpestoffer kan være forskjellig avhengig av land og produsent

Bagotaz Argentina
Betampil Ecuador
Bioval Chile
Petezam Argentina
Piperac Tyskland
Piperacillin tazobactam Belgia, Canada, Tyskland
Piperazam Brasil
Pipetazo Chile
Pipitaz Østerrike
Pixamol Colombia
Tazobac Ecuador, Italia, Portugal, Sveits
Tazocel Spania
Tazocilline Frankrike
Tazocin Argentina, Australia, Brasil, Colombia, Danmark, De forente arabiske emirater, Egypt, Finland, Hellas, Italia, Kroatia, Luxembourg, Mexico, Nederland, New Zealand, Nord-Irland, Norge, Peru, Polen, Storbritannia, Sverige, Sør-Afrika, Tyrkia, Ungarn
Tazonam Chile, Østerrike
Tazopip Australia
Tazpen Colombia, Mexico
Tazrobida Colombia
Tigux Chile
Tratac Chile
Trital Ecuador
Zosyn Japan, USA

Faktorer som påvirker stabiliteten   Injeksjon   Faktorer som påvirker stabiliteten : Piperacillin sodium / tazobactam        

  Mentions Légales