Ostatnia aktualizacja :
27/04/2026
Antybiotyk   Piperacillin sodium / tazobactam  
Injekcje
Trwałość roztworów Trwałość w mieszaninie Czynnik wpływający na trwałość Zgodność Sposób podania Bibliografia pdf
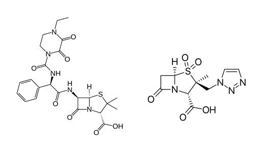
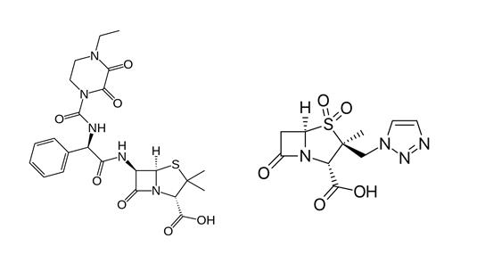
   Struktura chemiczna  

Nazwa handlowa   Nazwa handlowa     

Trade names are indicative and excipients composition can be different depending on the country and manufacturers

Bagotaz Argentyna
Betampil Ekwador
Bioval Chile
Petezam Argentyna
Piperac Niemcy
Piperacillin tazobactam Belgia, Kanada, Niemcy
Piperazam Brazylia
Pipetazo Chile
Pipitaz Austria
Pixamol KolumbiaKolumbia
Tazobac Ekwador, Portugalia, Szwajcaria, Włochy
Tazocel Hiszpania
Tazocilline Francja
Tazocin Afryka Południowa, Argentyna, Australia, Brazylia, Chorwacja, Dania, Egipt, Finlandia, Grecja, Holandia, Irlandia Północna, KolumbiaKolumbia, Luksemburg, Meksyk, Norwegia, nowa Zelandia, Peru, Polska, Szwecja, Turcja, Węgry, Wielka Brytania, Włochy, Zjednoczone Emiraty Arabskie
Tazonam Austria, Chile
Tazopip Australia
Tazpen KolumbiaKolumbia, Meksyk
Tazrobida KolumbiaKolumbia
Tigux Chile
Tratac Chile
Trital Ekwador
Zosyn Japonia, Stany Zjednoczone Ameryki

Czynnik wpływający na trwałość   Injekcje   Czynnik wpływający na trwałość : Piperacillin sodium / tazobactam        

  Mentions Légales