Laatste update :
27/04/2026
Antibioticum   Piperacillin sodium / tazobactam  
injecteerbaar geneesmiddel
Stabiliteit in oplossing Stabiliteit in mengsels Factoren die de stabiliteit beïnvloeden Verenigbaarheden Toedieningswijze Literatuur pdf
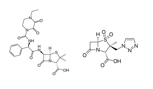
   Molecuulstructuur  

Merknamen in verschillende landen   Merknamen in verschillende landen     

Handelsnamen zijn slechts een indicatie; de samenstelling van hulpstoffen kan per land variëren afhankelijk van de fabrikant

Bagotaz Argentinië
Betampil Ecuador
Bioval Chili
Petezam Argentinië
Piperac Duitsland
Piperacillin tazobactam België, Canada, Duitsland
Piperazam Brazilië
Pipetazo Chili
Pipitaz Oostenrijk
Pixamol Colombia
Tazobac Ecuador, Italië, Portugal, Zwitserland
Tazocel Spanje
Tazocilline Frankrijk
Tazocin Argentinië, Australië, Brazilië, Colombia, Denemarken, Egypte, Finland, Griekenland, Groot Britannië, Hongarije, Italië, Kroatië, Luxemburg, Mexico, Nederland, nieuw Zeeland, Noord-ierland, Noorwegen, Peru, Polen, Turkije, Verenigde Arabische Emiraten, Zuid-Afrika, Zweden
Tazonam Chili, Oostenrijk
Tazopip Australië
Tazpen Colombia, Mexico
Tazrobida Colombia
Tigux Chili
Tratac Chili
Trital Ecuador
Zosyn Japan, USA

Factoren die de stabiliteit beïnvloeden   injecteerbaar geneesmiddel   Factoren die de stabiliteit beïnvloeden : Piperacillin sodium / tazobactam        

  Mentions Légales