Poslední aktualizace :
27/04/2026
Antibiotikas   Piperacillin sodium / tazobactam  
Įpurškimas
Tirpalų stabilumas Mišinių stabilumas Stabilumą lemiantys veiksniai Suderinamumas Leidimo būdai Bibliografija pdf
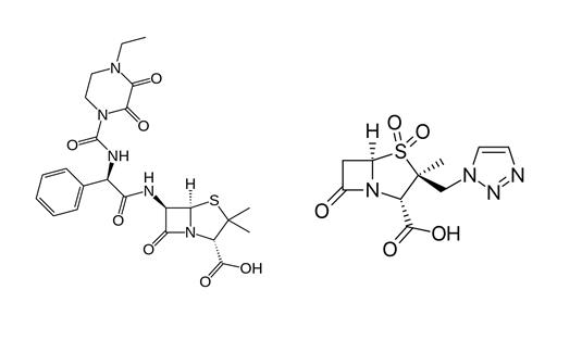
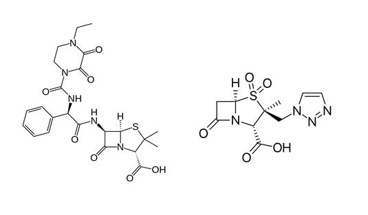
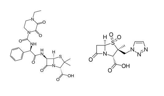
   Cheminė sandara  

Prekinis pavadinimas   Prekinis pavadinimas     

Trade names are indicative and excipients composition can be different depending on the country and manufacturers

Bagotaz Argentina
Betampil Ekvadoras
Bioval Čilė
Petezam Argentina
Piperac Vokietija
Piperacillin tazobactam Belgija, Kanada, Vokietija
Piperazam Brazilija
Pipetazo Čilė
Pipitaz Austrija
Pixamol Kolumbija
Tazobac Ekvadoras, Italija, Portugalija, Šveicarija
Tazocel Ispanija
Tazocilline Prancūzija
Tazocin Argentina, Australija, Brazilija, Danija, Didžioji Britanija, Egiptas, Graikija, Italija, Jungtiniai Arabų Emyratai, Kolumbija, Kroatija, Lenkija, Liuksemburgas, Meksikas, Naujojoje Zelandijoje, Norvegija, Olandija, Peru, Pietų Afrikos Respublika, Šiaurės Airijoje, Suomija, Švedija, Turkija, Vengrija
Tazonam Austrija, Čilė
Tazopip Australija
Tazpen Kolumbija, Meksikas
Tazrobida Kolumbija
Tigux Čilė
Tratac Čilė
Trital Ekvadoras
Zosyn Japonija, Jungtinės Amerikos Valstijos

Stabilumą lemiantys veiksniai   Įpurškimas   Stabilumą lemiantys veiksniai : Piperacillin sodium / tazobactam        

  Mentions Légales