Son güncelleme :
27/04/2026
Antibiyotik   Flucloxacillin sodium  
Enjeksiyon
Çözeltilerin stabilitesi Karışımlardaki stabilitesi Stabiliteyi etkileyen faktörler Uyumluluk Uygulama yöntemi Kaynaklar pdf
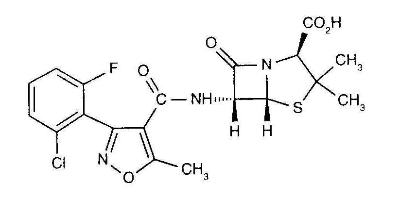
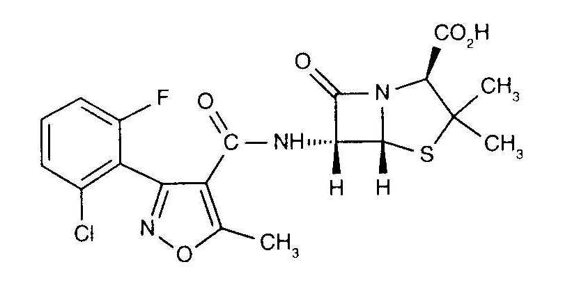
   Kimyasal yapı   

Ticari isim   Ticari isim     

Trade names are indicative and excipients composition can be different depending on the country and manufacturers

Astaph Fas
Betabiotic İtalya
DBL flucloxacillin sodium Avustralya
Flix Türkiye
Floxam Fas
Floxapen Amerika Birleşik Devletleri, Avusturya, Belçika, Fas, Hollanda, İsviçre, İtalya, Polonya, Portekiz, Suudi Arabistan
Flucloxacillin Almanya, Avustralya, Büyük Britanya, İtalya
Flucloxacilline Belçika, Fransa, Hollanda
Flucloxin yeni Zelanda
Ladropen Amerika Birleşik Devletleri
Stafoxil Hollanda
Staphylex Almanya
Kaynaklar   Enjeksiyon    Kaynaklar : Flucloxacillin sodium  
tip yayın
186 Dergi Swart EL, Mooren RAG, Van Loenen AC.
Compatibility of midazolam hydrochloride and lorazepam with selected drugs during simulated Y-site administration.
Am J Health-Syst Pharm 1995 ; 52: 2020-2022.
889 Dergi Janknegt R, Stratermans T, Cilissen J, Lohman JJHM, Hooymans PM.
Ofloxacin intravenous. Compatibility with other antibacterial agents.
Pharm Weekbl [Sci] 1991 ; 13: 207-209.
939 Dergi Gilbar PJ, Groves CF.
Visual compatibility of total parenteral nutrition solution (Synthamin 17 Premix*) with selected drugs during simulated Y-site injection.
Aust J Hosp Pharm 1994 ; 24: 167-170.
1232 Dergi Beatson C, Taylor A.
A physical compatibility study of furosemide & flucloxacillin injections.
Br J Pharm Pract 1987 ; 9: 223-226, 236.
1300 Dergi Ahmed ST, Parkinson R.
The stability of drugs in pre-filled syringes: flucloxacillin, ampicillin, cefuroxime, cefotaxime and ceftazidime.
Hosp Pharm Pract 1992 ; 2: 285-289.
1349 Dergi Sanburg AL, LyndonRC, Sunderland B.
Effects of freezing, long term storage and microwave thawing on the stability of three antibiotics reconstituted in minibags.
Aust J Hosp Pharm 1987 ; 17: 31-34.
1357 Dergi Janknegt R, Schrouff GGM, Hooymans PM, Hermens WJHH, Lohman JJHM.
Quinolones and penicillins incompatibility.
Ann Pharmacotherapy 1989 ; 23: 91-92.
1494 Dergi McLaughlin JP, Simpson C.
When is flucloxacillin stable ?
Hosp Pharm Pract 1993 ; 3: 553-556.
1845 Dergi Müller HJ, Haker I.
The stability of amoxicillin, ampicillin, benzylpenicillin, flucloxacillin, mezlocillin and piperacillin in isotonic saline solutions when stored in an innovative infusion container (Freeflex container).
EJHP 2003 ; 6: 106-111.
2231 Dergi de Jongh R, Hens R, Basma V, mouton JW, Tulkens PM, Carryn S.
Continuous versus intermittent infusion of temocillin, a directed spectrum penicillin for intensive care patients with nosocomial pneumonia: stability, compatibility, population pharmacokinetic studies and breakpoint selection.
J Antimicrob Chemother 2008 ; 61, 2: 382-388.
3091 Dergi Thalhammer F, Maier-Salamon A, Jäger W.
Prüfung von Stabilität und Kompatibilität von Flucloxacillin (Floxapen®) und Ceftazidim (Fortum®) in zwei Infusionslösungen:Relevanz für die klinische Praxis.
Wien Med Wochenschr 2005 ; 155, 13-14: 337-343.
3189 Dergi Tho T-P, Ching MS, Elis AG, Williams L, Garrett MK.
Stability of intravenous flucloxacillin solutions used for hospital-in-the-home.
J Pharm Pract and Res 2010 ; 40, 2: 101-105.
3385 Dergi Raverdi V, Ampe E, Hecq JD, Tulkens PM.
Stability and compatibility of vancomycin for administration by continuous infusion.
J Antimicrob Chemother 2013 ; 68: 1179-1182.
3522 Laboratuar Flucloxacillin - Summary of Product Characteristics.
Actavis 2013
3529 Laboratuar Ciprofloxacin – Summary of Product Characteristics
Hospira 2013
3585 Laboratuar Benzylpenicillin sodium - Summary of Product Characteristics
Genus Pharmaceuticals 2008
3643 Laboratuar Gentamicin sulphate (Cidomycin®) - Summary of Product Characteristics
Sanofi 2015
3674 Laboratuar Erythromycin lactobionate - Summary of Product Characteristics
PanPharma 2016
4218 Dergi Allwood M.C,Stonkute D, Wallace A, Wilkinson A-S, Hills T, Jamieson C,
Assessment of the stability of citrate-buffered flucloxacillin for injection when stored in two commercially available ambulatory elastomeric devices: INfusor LV (Baxter) and Accufuser (Woo Young Medical): a study compliant with the NHS Yellow Cover Document (YCD) requirements.
EJHP 2020 ; 27, 2: 90-94.
4538 Dergi Campbell A, Petrovski M, Senarathna G, Mukadam ,Strunk T, Batty K.
Compatibility of pentoxifylline and parenteral medications.
Archives of Disease in Childhood 2020 ; 105: 395-397.
4590 Dergi Smith E.K, McWhinney MPhil B.C.
Stability of buffered benzylpenicillin and flucloxacillin for a paediatric outpatient parenteral antibiotic therapy service.
J Pediatr Pharmacol Ther 2021 ; 51: 231-237.
4837 Dergi De Silva, D.T.N Petrovski M, Strunk T, Mukadam N, Page‑Sharp N, Moore B.R, Batty K.T.
Physicochemical compatibility of caffeine citrate and caffeine base injections with parenteral medications used in neonatal intensive care settings.
Eur J Clin Pharmacol 2024 ; 80:1079–1087.
4845 Dergi De Silva D.T.N, Strunk T, Petrovski M, Page-Sharp M, Moore B.R, Batty K.T.
The Physicochemical Compatibility of Sildenafil Injection with Parenteral Medications Used in Neonatal Intensive Care Settings.
Pharmaceutics 2024 ;1 6, 419.
4922 Dergi Wanandy T, Handley SA, Le TTA, Lau WY, Turner ME, Wiese MD.
Stability of Antibiotics for Use in the Testing of Immediate Drug Allergy Reactions.
J Allergy Clin Immunol Pract 2024 13, 2: 343-352.

  Mentions Légales