آخر تحديث :
27/04/2026
مضاد حيوي   Flucloxacillin sodium  
حقن
الاستقرار في حلول استقرار مخاليط العوامل التي تؤثر على الاستقرار التوافق طريقة التعاطي مراجع pdf
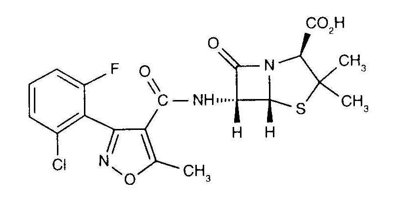
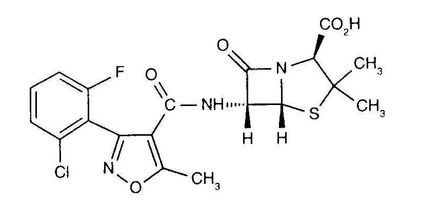
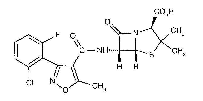
   التركيب الكيميائي  

حجز الاسم التجاري   حجز الاسم التجاري     

تحذير الأسماء التجاريه المختلفه قد تحتوي علي محتوي إضافات مختلفة حسب الدوله و المعمل

Astaph المغرب
Betabiotic إيطاليا
DBL flucloxacillin sodium أستراليا
Flix تركيا
Floxam المغرب
Floxapen إيطاليا, البرتغال, العربية السعودية, المغرب, النمسا, الولايات المتحدة, بلجيكا, بولندا, سويسرا, هولندا
Flucloxacillin أستراليا, ألمانيا, إيطاليا, بريطانيا العظمي
Flucloxacilline بلجيكا, فرنسا, هولندا
Flucloxin زيلاندا الجديدة
Ladropen الولايات المتحدة
Stafoxil هولندا
Staphylex ألمانيا
مراجع   حقن   مراجع : Flucloxacillin sodium  
نوع منشور
186 مجلة Swart EL, Mooren RAG, Van Loenen AC.
Compatibility of midazolam hydrochloride and lorazepam with selected drugs during simulated Y-site administration.
Am J Health-Syst Pharm 1995 ; 52: 2020-2022.
889 مجلة Janknegt R, Stratermans T, Cilissen J, Lohman JJHM, Hooymans PM.
Ofloxacin intravenous. Compatibility with other antibacterial agents.
Pharm Weekbl [Sci] 1991 ; 13: 207-209.
939 مجلة Gilbar PJ, Groves CF.
Visual compatibility of total parenteral nutrition solution (Synthamin 17 Premix*) with selected drugs during simulated Y-site injection.
Aust J Hosp Pharm 1994 ; 24: 167-170.
1232 مجلة Beatson C, Taylor A.
A physical compatibility study of furosemide & flucloxacillin injections.
Br J Pharm Pract 1987 ; 9: 223-226, 236.
1300 مجلة Ahmed ST, Parkinson R.
The stability of drugs in pre-filled syringes: flucloxacillin, ampicillin, cefuroxime, cefotaxime and ceftazidime.
Hosp Pharm Pract 1992 ; 2: 285-289.
1349 مجلة Sanburg AL, LyndonRC, Sunderland B.
Effects of freezing, long term storage and microwave thawing on the stability of three antibiotics reconstituted in minibags.
Aust J Hosp Pharm 1987 ; 17: 31-34.
1357 مجلة Janknegt R, Schrouff GGM, Hooymans PM, Hermens WJHH, Lohman JJHM.
Quinolones and penicillins incompatibility.
Ann Pharmacotherapy 1989 ; 23: 91-92.
1494 مجلة McLaughlin JP, Simpson C.
When is flucloxacillin stable ?
Hosp Pharm Pract 1993 ; 3: 553-556.
1845 مجلة Müller HJ, Haker I.
The stability of amoxicillin, ampicillin, benzylpenicillin, flucloxacillin, mezlocillin and piperacillin in isotonic saline solutions when stored in an innovative infusion container (Freeflex container).
EJHP 2003 ; 6: 106-111.
2231 مجلة de Jongh R, Hens R, Basma V, mouton JW, Tulkens PM, Carryn S.
Continuous versus intermittent infusion of temocillin, a directed spectrum penicillin for intensive care patients with nosocomial pneumonia: stability, compatibility, population pharmacokinetic studies and breakpoint selection.
J Antimicrob Chemother 2008 ; 61, 2: 382-388.
3091 مجلة Thalhammer F, Maier-Salamon A, Jäger W.
Prüfung von Stabilität und Kompatibilität von Flucloxacillin (Floxapen®) und Ceftazidim (Fortum®) in zwei Infusionslösungen:Relevanz für die klinische Praxis.
Wien Med Wochenschr 2005 ; 155, 13-14: 337-343.
3189 مجلة Tho T-P, Ching MS, Elis AG, Williams L, Garrett MK.
Stability of intravenous flucloxacillin solutions used for hospital-in-the-home.
J Pharm Pract and Res 2010 ; 40, 2: 101-105.
3385 مجلة Raverdi V, Ampe E, Hecq JD, Tulkens PM.
Stability and compatibility of vancomycin for administration by continuous infusion.
J Antimicrob Chemother 2013 ; 68: 1179-1182.
3522 مختبر Flucloxacillin - Summary of Product Characteristics.
Actavis 2013
3529 مختبر Ciprofloxacin – Summary of Product Characteristics
Hospira 2013
3585 مختبر Benzylpenicillin sodium - Summary of Product Characteristics
Genus Pharmaceuticals 2008
3643 مختبر Gentamicin sulphate (Cidomycin®) - Summary of Product Characteristics
Sanofi 2015
3674 مختبر Erythromycin lactobionate - Summary of Product Characteristics
PanPharma 2016
4218 مجلة Allwood M.C,Stonkute D, Wallace A, Wilkinson A-S, Hills T, Jamieson C,
Assessment of the stability of citrate-buffered flucloxacillin for injection when stored in two commercially available ambulatory elastomeric devices: INfusor LV (Baxter) and Accufuser (Woo Young Medical): a study compliant with the NHS Yellow Cover Document (YCD) requirements.
EJHP 2020 ; 27, 2: 90-94.
4538 مجلة Campbell A, Petrovski M, Senarathna G, Mukadam ,Strunk T, Batty K.
Compatibility of pentoxifylline and parenteral medications.
Archives of Disease in Childhood 2020 ; 105: 395-397.
4590 مجلة Smith E.K, McWhinney MPhil B.C.
Stability of buffered benzylpenicillin and flucloxacillin for a paediatric outpatient parenteral antibiotic therapy service.
J Pediatr Pharmacol Ther 2021 ; 51: 231-237.
4837 مجلة De Silva, D.T.N Petrovski M, Strunk T, Mukadam N, Page‑Sharp N, Moore B.R, Batty K.T.
Physicochemical compatibility of caffeine citrate and caffeine base injections with parenteral medications used in neonatal intensive care settings.
Eur J Clin Pharmacol 2024 ; 80:1079–1087.
4845 مجلة De Silva D.T.N, Strunk T, Petrovski M, Page-Sharp M, Moore B.R, Batty K.T.
The Physicochemical Compatibility of Sildenafil Injection with Parenteral Medications Used in Neonatal Intensive Care Settings.
Pharmaceutics 2024 ;1 6, 419.
4922 مجلة Wanandy T, Handley SA, Le TTA, Lau WY, Turner ME, Wiese MD.
Stability of Antibiotics for Use in the Testing of Immediate Drug Allergy Reactions.
J Allergy Clin Immunol Pract 2024 13, 2: 343-352.

  Mentions Légales