Pēdējā atjaunošana :
27/04/2026
Antibiotika   Flucloxacillin sodium  
Injekcija
Šķīduma stabilitāte Maisījuma stabilitāte Stabilitāti ietekmējoši faktori Saderība Levadīšanas veids Literatūras saraksts pdf
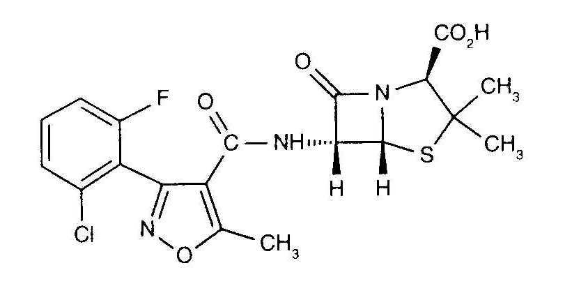
   Ķīmiskā uzbūve   

Oriģinālais nosaukums   Oriģinālais nosaukums     

Tirdzniecības nosaukumi ir apzīmējoši un palīgvielas var atšķirties dažādām valstīm un laboratorijām

Astaph Maroka
Betabiotic Itālija
DBL flucloxacillin sodium Austrālija
Flix Turcija
Floxam Maroka
Floxapen Amerikas Savienotās Valstis, Austrija, Beļģija, Holande, Itālija, Maroka, Polija, Portugāle, Saūda Arābija, Šveice
Flucloxacillin Austrālija, Itālija, Lielbritānija, Vācija
Flucloxacilline Beļģija, Francija, Holande
Flucloxin Jaunzēlande
Ladropen Amerikas Savienotās Valstis
Stafoxil Holande
Staphylex Vācija
Literatūras saraksts   Injekcija   Literatūras saraksts : Flucloxacillin sodium  
tips publicēšana
186 Žurnāls Swart EL, Mooren RAG, Van Loenen AC.
Compatibility of midazolam hydrochloride and lorazepam with selected drugs during simulated Y-site administration.
Am J Health-Syst Pharm 1995 ; 52: 2020-2022.
889 Žurnāls Janknegt R, Stratermans T, Cilissen J, Lohman JJHM, Hooymans PM.
Ofloxacin intravenous. Compatibility with other antibacterial agents.
Pharm Weekbl [Sci] 1991 ; 13: 207-209.
939 Žurnāls Gilbar PJ, Groves CF.
Visual compatibility of total parenteral nutrition solution (Synthamin 17 Premix*) with selected drugs during simulated Y-site injection.
Aust J Hosp Pharm 1994 ; 24: 167-170.
1232 Žurnāls Beatson C, Taylor A.
A physical compatibility study of furosemide & flucloxacillin injections.
Br J Pharm Pract 1987 ; 9: 223-226, 236.
1300 Žurnāls Ahmed ST, Parkinson R.
The stability of drugs in pre-filled syringes: flucloxacillin, ampicillin, cefuroxime, cefotaxime and ceftazidime.
Hosp Pharm Pract 1992 ; 2: 285-289.
1349 Žurnāls Sanburg AL, LyndonRC, Sunderland B.
Effects of freezing, long term storage and microwave thawing on the stability of three antibiotics reconstituted in minibags.
Aust J Hosp Pharm 1987 ; 17: 31-34.
1357 Žurnāls Janknegt R, Schrouff GGM, Hooymans PM, Hermens WJHH, Lohman JJHM.
Quinolones and penicillins incompatibility.
Ann Pharmacotherapy 1989 ; 23: 91-92.
1494 Žurnāls McLaughlin JP, Simpson C.
When is flucloxacillin stable ?
Hosp Pharm Pract 1993 ; 3: 553-556.
1845 Žurnāls Müller HJ, Haker I.
The stability of amoxicillin, ampicillin, benzylpenicillin, flucloxacillin, mezlocillin and piperacillin in isotonic saline solutions when stored in an innovative infusion container (Freeflex container).
EJHP 2003 ; 6: 106-111.
2231 Žurnāls de Jongh R, Hens R, Basma V, mouton JW, Tulkens PM, Carryn S.
Continuous versus intermittent infusion of temocillin, a directed spectrum penicillin for intensive care patients with nosocomial pneumonia: stability, compatibility, population pharmacokinetic studies and breakpoint selection.
J Antimicrob Chemother 2008 ; 61, 2: 382-388.
3091 Žurnāls Thalhammer F, Maier-Salamon A, Jäger W.
Prüfung von Stabilität und Kompatibilität von Flucloxacillin (Floxapen®) und Ceftazidim (Fortum®) in zwei Infusionslösungen:Relevanz für die klinische Praxis.
Wien Med Wochenschr 2005 ; 155, 13-14: 337-343.
3189 Žurnāls Tho T-P, Ching MS, Elis AG, Williams L, Garrett MK.
Stability of intravenous flucloxacillin solutions used for hospital-in-the-home.
J Pharm Pract and Res 2010 ; 40, 2: 101-105.
3385 Žurnāls Raverdi V, Ampe E, Hecq JD, Tulkens PM.
Stability and compatibility of vancomycin for administration by continuous infusion.
J Antimicrob Chemother 2013 ; 68: 1179-1182.
3522 Laboratorija Flucloxacillin - Summary of Product Characteristics.
Actavis 2013
3529 Laboratorija Ciprofloxacin – Summary of Product Characteristics
Hospira 2013
3585 Laboratorija Benzylpenicillin sodium - Summary of Product Characteristics
Genus Pharmaceuticals 2008
3643 Laboratorija Gentamicin sulphate (Cidomycin®) - Summary of Product Characteristics
Sanofi 2015
3674 Laboratorija Erythromycin lactobionate - Summary of Product Characteristics
PanPharma 2016
4218 Žurnāls Allwood M.C,Stonkute D, Wallace A, Wilkinson A-S, Hills T, Jamieson C,
Assessment of the stability of citrate-buffered flucloxacillin for injection when stored in two commercially available ambulatory elastomeric devices: INfusor LV (Baxter) and Accufuser (Woo Young Medical): a study compliant with the NHS Yellow Cover Document (YCD) requirements.
EJHP 2020 ; 27, 2: 90-94.
4538 Žurnāls Campbell A, Petrovski M, Senarathna G, Mukadam ,Strunk T, Batty K.
Compatibility of pentoxifylline and parenteral medications.
Archives of Disease in Childhood 2020 ; 105: 395-397.
4590 Žurnāls Smith E.K, McWhinney MPhil B.C.
Stability of buffered benzylpenicillin and flucloxacillin for a paediatric outpatient parenteral antibiotic therapy service.
J Pediatr Pharmacol Ther 2021 ; 51: 231-237.
4837 Žurnāls De Silva, D.T.N Petrovski M, Strunk T, Mukadam N, Page‑Sharp N, Moore B.R, Batty K.T.
Physicochemical compatibility of caffeine citrate and caffeine base injections with parenteral medications used in neonatal intensive care settings.
Eur J Clin Pharmacol 2024 ; 80:1079–1087.
4845 Žurnāls De Silva D.T.N, Strunk T, Petrovski M, Page-Sharp M, Moore B.R, Batty K.T.
The Physicochemical Compatibility of Sildenafil Injection with Parenteral Medications Used in Neonatal Intensive Care Settings.
Pharmaceutics 2024 ;1 6, 419.
4922 Žurnāls Wanandy T, Handley SA, Le TTA, Lau WY, Turner ME, Wiese MD.
Stability of Antibiotics for Use in the Testing of Immediate Drug Allergy Reactions.
J Allergy Clin Immunol Pract 2024 13, 2: 343-352.

  Mentions Légales