Ultimele actualizari :
27/01/2026
Cardiotonic   Digoxin  
Injectabil
Stabilitatea in solutie Stabilitatea in amestec Factorii care influenteaza stabilitatea Compatibilitate Microunde Bibliografie pdf
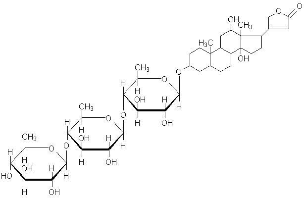
   Formula chimica  

Denumirea comerciala   Denumirea comerciala     

Trade names are indicative and excipients composition can be different depending on the country and manufacturers

Cardixin Egipt
Celoxin India
Digibind noua Zeelandă, SUA
Digocard Argentina, Ecuador
Digosin Japonia
Digoxin Argentina, Canada, Danemarca, Ecuador, Finlanda, Iran, Marea Britanie, Polonia, SUA, Suedia, Ungaria
Digoxina Argentina, Ecuador, Mexic, Spania, Venezuela
Digoxine Elvetia, Franta, Grecia
Geoxin India
Lanibos Arabia Saudita
Lanicor Germania
Lanoxin Arabia Saudita, Belgia, Chilli, Egipt, Emiratele Arabe Unite, Iran, Irlanda, Italia, Luxemburg, Malaezia, Marea Britanie, Norvegia, noua Zeelandă, Olanda, Portugalia, SUA
Loxinan Mexic
Stabilitatea in solutie   Injectabil   Stabilitatea in solutie : Digoxin     
Continut Solvent Concentratie Temperatura Conservare Durata stabilității Bibiografie
sticla clorura de sodiu 0,9% 2,5 µg/ml 23-26°C Lumina
48 Ora
618
Analiza biologică

sticla clorura de sodiu 0,9% 2,5 µg/ml 4°C Ferit de lumina
48 Ora
618
Analiza biologică

sticla clorura de sodiu 0,9% 50 µg/ml 23-27°C Lumina
180 Ziua
4690
Nivel de evidență B+

sticla clorura de sodiu 0,9% 50 µg/ml 3-7°C Lumina
180 Ziua
4690
Nivel de evidență B+

sticla Glucoza 5% 2,5 µg/ml 23-26°C Lumina
48 Ora
618
Analiza biologică

sticla Glucoza 5% 2,5 µg/ml 4°C Ferit de lumina
48 Ora
618
Analiza biologică

sticla Solutie Ringer lactat 2,5 µg/ml 23°C-26°C Lumina
6 Ora
618
Analiza biologică


  Mentions Légales