Pēdējā atjaunošana :
27/01/2026
Kardiotonisks līdzeklis   Digoxin  
Injekcija
Šķīduma stabilitāte Maisījuma stabilitāte Stabilitāti ietekmējoši faktori Saderība Levadīšanas veids Literatūras saraksts pdf
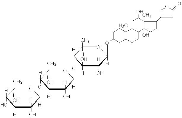
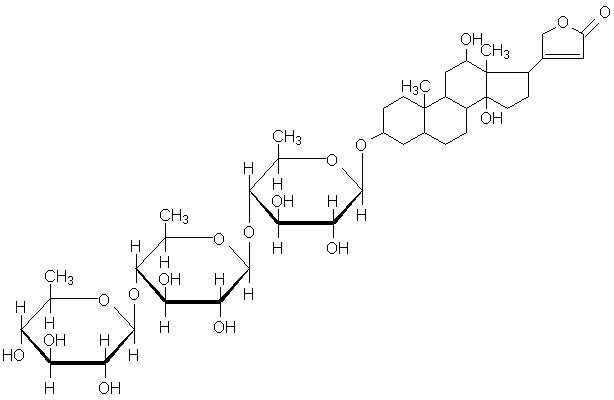
   Ķīmiskā uzbūve   

Oriģinālais nosaukums   Oriģinālais nosaukums     

Tirdzniecības nosaukumi ir apzīmējoši un palīgvielas var atšķirties dažādām valstīm un laboratorijām

Cardixin Ēģipte
Celoxin Indija
Digibind Amerikas Savienotās Valstis, Jaunzēlande
Digocard Argentīna, Ekvadora
Digosin Japāna
Digoxin Amerikas Savienotās Valstis, Argentīna, Dānija, Ekvadora, Irāna, Kanāda, Lielbritānija, Polija, Somija, Ungārija, Zviedrija
Digoxina Argentīna, Ekvadora, Meksika, Spānija, Venecuēla
Digoxine Francija, Grieķija, Šveice
Geoxin Indija
Lanibos Saūda Arābija
Lanicor Vācija
Lanoxin Amerikas Savienotās Valstis, Apvienotie Arābu Emirāti, Beļģija, Čīle, Ēģipte, Holande, Irāna, Īrija, Itālija, Jaunzēlande, Lielbritānija, Luksemburga, Malaizija, Norvēģija, Portugāle, Saūda Arābija
Loxinan Meksika
Šķīduma stabilitāte   Injekcija   Šķīduma stabilitāte : Digoxin     
Iepakojums Šķīdinātājs Koncentrācija Temperatūra Glabāšana Stabilitātes ilgums Literatūras saraksts
Stikls Nātrija hlorīds 0.9% 2,5 µg/ml 23-26°C Gaisma
48 Stunda
618
Bioloģiskā metode

Stikls Nātrija hlorīds 0.9% 2,5 µg/ml 4°C Aizsargāt no gaismas
48 Stunda
618
Bioloģiskā metode

Stikls Nātrija hlorīds 0.9% 50 µg/ml 23-27°C Gaisma
180 Diena
4690
Pierādījumu līmenis B+

Stikls Nātrija hlorīds 0.9% 50 µg/ml 3-7°C Gaisma
180 Diena
4690
Pierādījumu līmenis B+

Stikls 5% glikoze 2,5 µg/ml 23-26°C Gaisma
48 Stunda
618
Bioloģiskā metode

Stikls 5% glikoze 2,5 µg/ml 4°C Aizsargāt no gaismas
48 Stunda
618
Bioloģiskā metode

Stikls Ringera laktāta šķīdums 2,5 µg/ml 23°C-26°C Gaisma
6 Stunda
618
Bioloģiskā metode


  Mentions Légales