Last update :
27/01/2026
Cardiotonic   Digoxin  
injection
Stability in solutions Stability of mixtures Factors which affect stability Compatibility Route of administration References pdf
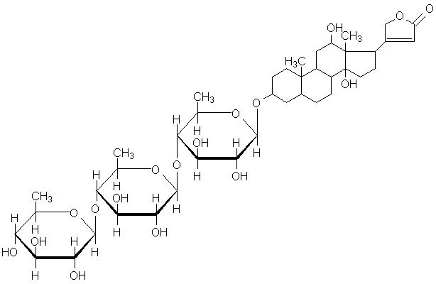
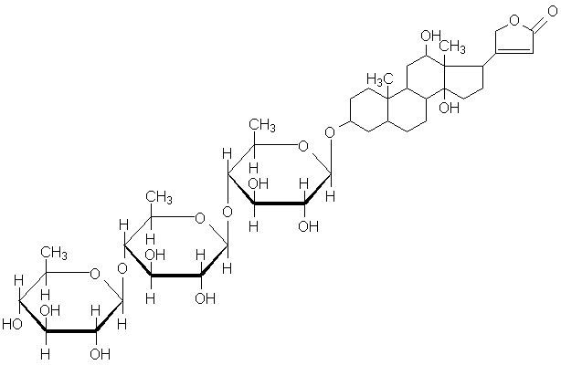
   Chemical structure  

Tradename   Tradename     

Trade names are indicative and excipients composition can be different depending on the country and manufacturers

Cardixin Egypt
Celoxin India
Digibind New Zealand, United States of America
Digocard Argentina, Ecuador
Digosin Japan
Digoxin Argentina, Canada, Denmark, Ecuador, Finland, Great Britain, Hungary, Iran, Poland, Sweden, United States of America
Digoxina Argentina, Ecuador, Mexico, Spain, Venezuela
Digoxine France, Greece, Switzerland
Geoxin India
Lanibos Saudi Arabia
Lanicor Germany
Lanoxin Belgium, Chile, Egypt, Great Britain, Iran, Ireland, Italy, Luxembourg, Malaysia, Netherlands, New Zealand, Norway, Portugal, Saudi Arabia, United Arab Emirates, United States of America
Loxinan Mexico
Stability in solutions   injection   Stability in solutions : Digoxin     
Container Solvent Concentration Temperature Storage Duration of stability References
Glass Sodium chloride 0,9% 2,5 µg/ml 23-26°C Light
48 Hour
618
Biological analysis

Glass Sodium chloride 0,9% 2,5 µg/ml 4°C Protect from light
48 Hour
618
Biological analysis

Glass Sodium chloride 0,9% 50 µg/ml 23-27°C Light
180 Day
4690
Level of evidence B+

Glass Sodium chloride 0,9% 50 µg/ml 3-7°C Light
180 Day
4690
Level of evidence B+

Glass Glucose 5% 2,5 µg/ml 23-26°C Light
48 Hour
618
Biological analysis

Glass Glucose 5% 2,5 µg/ml 4°C Protect from light
48 Hour
618
Biological analysis

Glass Ringer’s lactate solution 2,5 µg/ml 23°C-26°C Light
6 Hour
618
Biological analysis


  Mentions Légales