Poslední aktualizace :
27/01/2026
Kardiotonikum   Digoxin  
injekce
Stabilita roztoků Stabilita směsí Faktory ovlivňující stabilitu Kompatibilita Způsoby aplikace Odkazy pdf
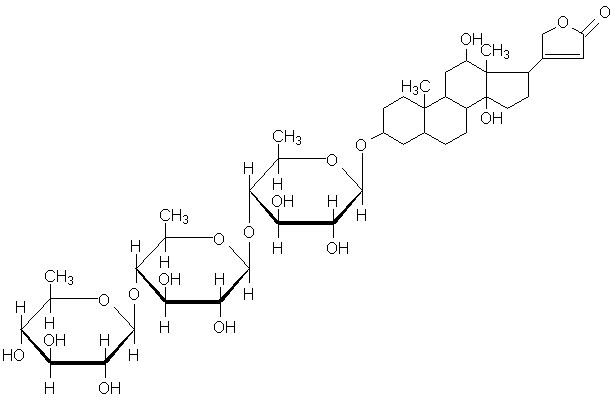
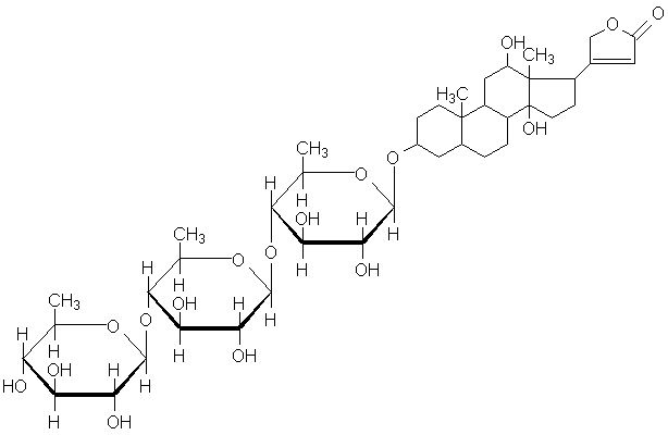
   Chemický vzorec  

Obchodní název   Obchodní název     

Trade names are indicative and excipients composition can be different depending on the country and manufacturers

Cardixin Egypt
Celoxin Indie
Digibind nový Zéland, USA
Digocard Argentina, Ekvádor
Digosin Japonsko
Digoxin Argentina, Dánsko, Ekvádor, Finsko, Írán, Kanada, MaÔarsko, Polsko, Švédsko, USA, Velká Británie
Digoxina äpanÏlsko, Argentina, Ekvádor, Mexiko, Venezuela
Digoxine Francie, Švýcarsko, ÿecko
Geoxin Indie
Lanibos Saúdská Arábie
Lanicor NÏmecko
Lanoxin Belgie, Chile, Egypt, Írán, Irsko, Itálie, Lucembursko, Malajsie, Nizozemsko, Norsko, nový Zéland, Portugalsko, Saúdská Arábie, Spojené arabské emiráty, USA, Velká Británie
Loxinan Mexiko
Stabilita roztoků   injekce   Stabilita roztoků : Digoxin     
Obal RozpouötÏdlo Koncentrace Teplota Uchovávání Trvání stability Odkazy
Sklo Chlorid sodný 0,9% 2,5 µg/ml 23-26°C SvÏtlo
48 Hodina
618
Biologická metoda

Sklo Chlorid sodný 0,9% 2,5 µg/ml 4°C Chráněno před světlem
48 Hodina
618
Biologická metoda

Sklo Chlorid sodný 0,9% 50 µg/ml 23-27°C SvÏtlo
180 Den
4690
Úroveň zkoušky B+

Sklo Chlorid sodný 0,9% 50 µg/ml 3-7°C SvÏtlo
180 Den
4690
Úroveň zkoušky B+

Sklo GlukÛza 5% 2,5 µg/ml 23-26°C SvÏtlo
48 Hodina
618
Biologická metoda

Sklo GlukÛza 5% 2,5 µg/ml 4°C Chráněno před světlem
48 Hodina
618
Biologická metoda

Sklo RingerŐs laktátový roztok 2,5 µg/ml 23°C-26°C SvÏtlo
6 Hodina
618
Biologická metoda


  Mentions Légales