Letztes “update” :
27/01/2026
Herzstärkungsmittel   Digoxin  
Injektion
Stabilität der Lösung Gemengestabilität Stabilitätbeeinflussende Faktoren Kompatibilitäten Applikationsart Literaturverzeichnis pdf
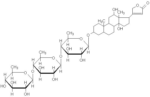
   Chemische Struktur  

Handelsmarke   Handelsmarke     

Handelsnamen sind als beispielhaft anzusehen. Sonstige Bestandteile können je nach Hersteller oder Land verschieden sein

Cardixin Ägypten
Celoxin Indien
Digibind Neuseeland, Vereinigte Staaten von Amerika
Digocard Argentinien, Ecuador
Digosin Japan
Digoxin Argentinien, Dänemark, Ecuador, Finnland, Großbritannien, Iran, Kanada, Polen, Schweden, Ungarn, Vereinigte Staaten von Amerika
Digoxina Argentinien, Ecuador, Mexiko, Spanien, Venezuela
Digoxine Frankreich, Griechenland, Schweiz
Geoxin Indien
Lanibos Saudi-Arabien
Lanicor Deutschland
Lanoxin Ägypten, Belgien, Chile, Großbritannien, Iran, Irland, Italien, Luxemburg, Malaysia, Neuseeland, Niederlande, Norwegen, Portugal, Saudi-Arabien, Vereinigte Arabische Emirate, Vereinigte Staaten von Amerika
Loxinan Mexiko
Stabilität der Lösung   Injektion   Stabilität der Lösung : Digoxin     
Behälter Lösungsmittel Konzentration Temperatur Konservierung Dauer der Stabilität Literaturverzeichnis
Glas 0,9% Natriumchlorid 2,5 µg/ml 23-26°C Licht
48 Stunde
618
Biologische Analysen

Glas 0,9% Natriumchlorid 2,5 µg/ml 4°C Ohne Licht
48 Stunde
618
Biologische Analysen

Glas 0,9% Natriumchlorid 50 µg/ml 23-27°C Licht
180 Tag
4690
Evidenzgrad B+

Glas 0,9% Natriumchlorid 50 µg/ml 3-7°C Licht
180 Tag
4690
Evidenzgrad B+

Glas 5% Glucose 2,5 µg/ml 23-26°C Licht
48 Stunde
618
Biologische Analysen

Glas 5% Glucose 2,5 µg/ml 4°C Ohne Licht
48 Stunde
618
Biologische Analysen

Glas Ringer Lactat - Lösung 2,5 µg/ml 23°C-26°C Licht
6 Stunde
618
Biologische Analysen


  Mentions Légales