Utolsó frissítés :
27/01/2026
Kardiotonikum   Digoxin  
Injekció
Az oldatok stabilitása A keverékek stabilitása Stabilitást befolyásoló tényezők Kompatibilitás Az alkalmazás módja Irodalom pdf
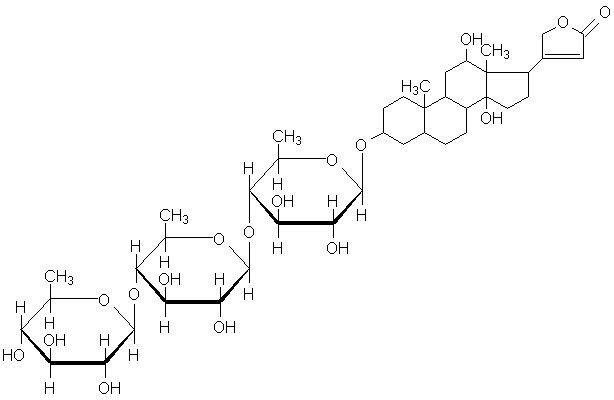
   Kémiai szerkezet   

Kereskedelmi név   Kereskedelmi név     

A kereskedelmi név meghatározó jelentőségű: a készítmények összetétele országonként, előállítóként eltérő lehet

Cardixin Egyiptom
Celoxin India
Digibind Amerikai Egyesült Államok, új-Zéland
Digocard Argentína, Ecuador
Digosin Japán
Digoxin Amerikai Egyesült Államok, Argentína, Dánia, Ecuador, Finnország, Irán, Kanada, Lengyelország, Magyarország, Nagy-Britannia, Svédország
Digoxina Argentína, Ecuador, Mexikó, Spanyolország, Venezuela
Digoxine Franciaország, Görögország, Svájc
Geoxin India
Lanibos Szaúd-Arábiában
Lanicor Németország
Lanoxin Amerikai Egyesült Államok, Belgium, Chile, Egyesült Arab Emírségek, Egyiptom, Hollandia, Irán, Írország, Luxemburg, Malaysia, Nagy-Britannia, Norvégia, Olaszország, Portugália, Szaúd-Arábiában, új-Zéland
Loxinan Mexikó
Az oldatok stabilitása   Injekció   Az oldatok stabilitása : Digoxin     
Csomagolás Oldószer Koncentráció Hőmérséklet Tárolás A stabilitás időtartama Irodalom
Üveg 0,9% nátrium-klorid 2,5 µg/ml 23-26°C Fény
48 Óra
618
Biológiai elemzés

Üveg 0,9% nátrium-klorid 2,5 µg/ml 4°C Fénytől védve tartandó
48 Óra
618
Biológiai elemzés

Üveg 0,9% nátrium-klorid 50 µg/ml 23-27°C Fény
180 Nap
4690
Szintű bizonyítékot B+

Üveg 0,9% nátrium-klorid 50 µg/ml 3-7°C Fény
180 Nap
4690
Szintű bizonyítékot B+

Üveg 5% glükóz 2,5 µg/ml 23-26°C Fény
48 Óra
618
Biológiai elemzés

Üveg 5% glükóz 2,5 µg/ml 4°C Fénytől védve tartandó
48 Óra
618
Biológiai elemzés

Üveg Ringer-laktát oldat 2,5 µg/ml 23°C-26°C Fény
6 Óra
618
Biológiai elemzés


  Mentions Légales