Viimeisin päivitys :
27/01/2026
Sydämen toimintaa tehostava   Digoxin  
Injektioneste
Stabilius liuoksessa Stabilius seoksissa Tekijät, jotka vaikuttavat stabiliuteen Yhteensopivuus Antotapa Viitteet pdf
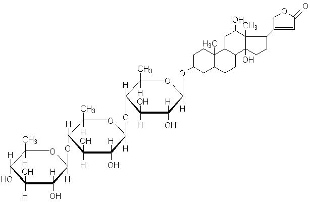
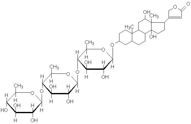
   Kemiallinen rakenne  

Kauppanimi   Kauppanimi     

Trade names are indicative and excipients composition can be different depending on the country and manufacturers

Cardixin Egypti
Celoxin Intia
Digibind New Zealand, Yhdysvallat
Digocard Argentiina, Ecuador
Digosin Japani
Digoxin Argentiina, Ecuador, Iran, Iso-Britannia, Kanada, Puola, Ruotsi, Suomi, Tanska, Unkari, Yhdysvallat
Digoxina Argentiina, Ecuador, Espanja, Meksiko, Venezuela
Digoxine Kreikka, Ranska, Sveitsi
Geoxin Intia
Lanibos Saudi-Arabia
Lanicor Saksa
Lanoxin Belgia, Chile, Egypti, Hollanti, Iran, Irlanti, Iso-Britannia, Italia, Luxemburg, Malesia, New Zealand, Norja, Portugali, Saudi-Arabia, Yhdistyneet arabiemiirikunnat, Yhdysvallat
Loxinan Meksiko
Stabilius liuoksessa   Injektioneste   Stabilius liuoksessa : Digoxin     
Astia Liuotin Konsentraatio Lämpötila Säilytys Vakauden kesto Viitteet
Lasi Natriumkloridi 0,9% 2,5 µg/ml 23-26°C Valo
48 tunti
618
Biologinen menetelmä

Lasi Natriumkloridi 0,9% 2,5 µg/ml 4°C Suojattava valolta
48 tunti
618
Biologinen menetelmä

Lasi Natriumkloridi 0,9% 50 µg/ml 23-27°C Valo
180 Päivä
4690
Näytön laajuus B+

Lasi Natriumkloridi 0,9% 50 µg/ml 3-7°C Valo
180 Päivä
4690
Näytön laajuus B+

Lasi Glukoosi 5% 2,5 µg/ml 23-26°C Valo
48 tunti
618
Biologinen menetelmä

Lasi Glukoosi 5% 2,5 µg/ml 4°C Suojattava valolta
48 tunti
618
Biologinen menetelmä

Lasi Ringerlaktaattiliuos 2,5 µg/ml 23°C-26°C Valo
6 tunti
618
Biologinen menetelmä


  Mentions Légales