zadnja posodobitev :
27/11/2025
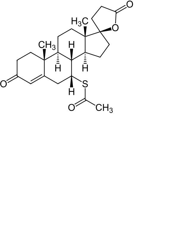
Diuretik   Spironolactone  
Mazila
Peroralna raztopina
Stabilnost farmacevtskih preparatov Stabilnost mešanice Faktorji, ki vplivajo na stabilnost Kompatibilnost Viri pdf
   Kemična formula  

Mazila
Stabilnost farmacevtskih preparatov   Mazila   Stabilnost farmacevtskih preparatov : Spironolactone     
Vsebnik Origine Ekscipient Temperatura Shranjevanje Trajanje stabilnosti Viri
Steklo Prašek 1 g
® = ?
Cremophor RH 40 6 g
TrichoSol® >> 100 ml
25°C Zaščiteno pred svetlobo
120 Dan
4921

  Mentions Légales