Viimeisin päivitys :
27/04/2026
Diureetit   Spironolactone  
Salvat
Oraaliliuos
Vakaus lääkevalmisteen Stabilius seoksissa Tekijät, jotka vaikuttavat stabiliuteen Yhteensopivuus Viitteet pdf
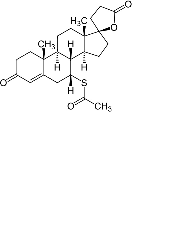
   Kemiallinen rakenne  

Salvat
Vakaus lääkevalmisteen   Salvat   Vakaus lääkevalmisteen : Spironolactone     
Astia Origine Apuaine Lämpötila Säilytys Vakauden kesto Viitteet
Lasi Jauhe 1 g
® = ?
Cremophor RH 40 6 g
TrichoSol® >> 100 ml
25°C Suojattava valolta
120 Päivä
4921

  Mentions Légales