Zadnji put ažurirano :
18/03/2026
diuretici   Spironolactone  
masti
oralna otopina
Stabilnost farmaceutskih pripravaka Stabilnost mješavine Stabilizacijski faktor Kompatibilnosti Bibliografija pdf
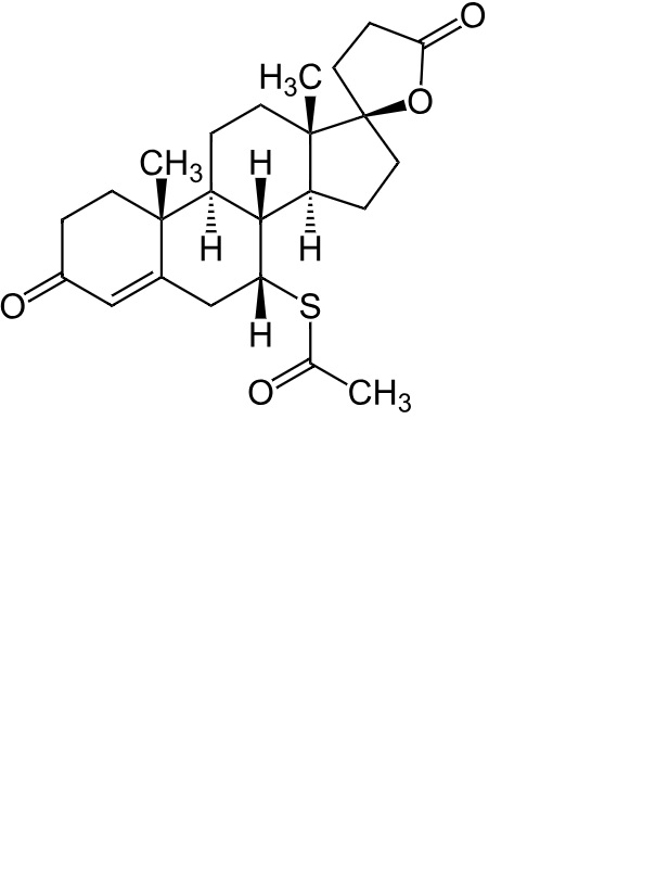
   Kemijska struktura  

masti
Stabilnost farmaceutskih pripravaka   masti   Stabilnost farmaceutskih pripravaka : Spironolactone     
Kontejner Origine pomoćna tvar temperatura Konzerviranje Trajanje stabilnosti Bibliografija
čaša prašak 1 g
® = ?
Cremophor RH 40 6 g
TrichoSol® >> 100 ml
25°C Zaštićeno od svjetlosti
120 dan
4921

  Mentions Légales