Siste oppdatering :
27/11/2025
Infostab
Lister
Sammendrag
Søk etter kompatibilitet
Y-side kompatibilitetstabell
Referanser
Forskerteamet
valistab
plakat
Tilkoblinger
sponsorer
Forfatter
Instruksjon
Nyhetsbrev
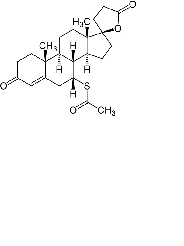
Spironolactone
Kjemisk struktur
Stabilitet av farmasøytiske preparater : Spironolactone
1 g
® = ?
Cremophor RH 40
6 g
TrichoSol®
>> 100 ml
25°C
120
4921
Mentions Légales