Последнее обновление :
27/11/2025
Диуретик   Spironolactone  
Мази
Раствор для перорального приёма
Стабильность фармацевтических препаратов Стабильность смесей Факторы, которые влияют на стабильность Совместимость Библиография pdf
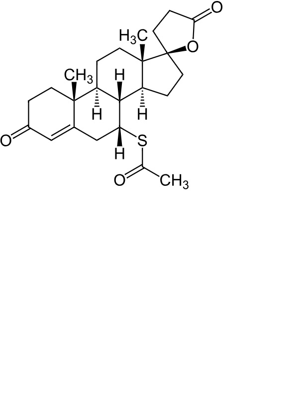
   Химическая структура  

Мази
Стабильность фармацевтических препаратов   Мази   Стабильность фармацевтических препаратов : Spironolactone     
Упаковка Origine Наполнитель Температура Хранение Продолжительность стабильности Ссылки
Стекло Порошок 1 g
® = ?
Cremophor RH 40 6 g
TrichoSol® >> 100 ml
25°C Защищён от света
120 День
4921

  Mentions Légales