Cập nhật lần cuối :
27/04/2026
Thuốc khử cực giống cura   Atracurium besylate  
Dạng tiêm
Tính ổn định của các dung dịch Độ ổn định khi trộn lẫn Những yếu tố ảnh hưởng đến độ ổn định Khả năng tương thích Đường dùng Tài liệu tham khảo Pdf
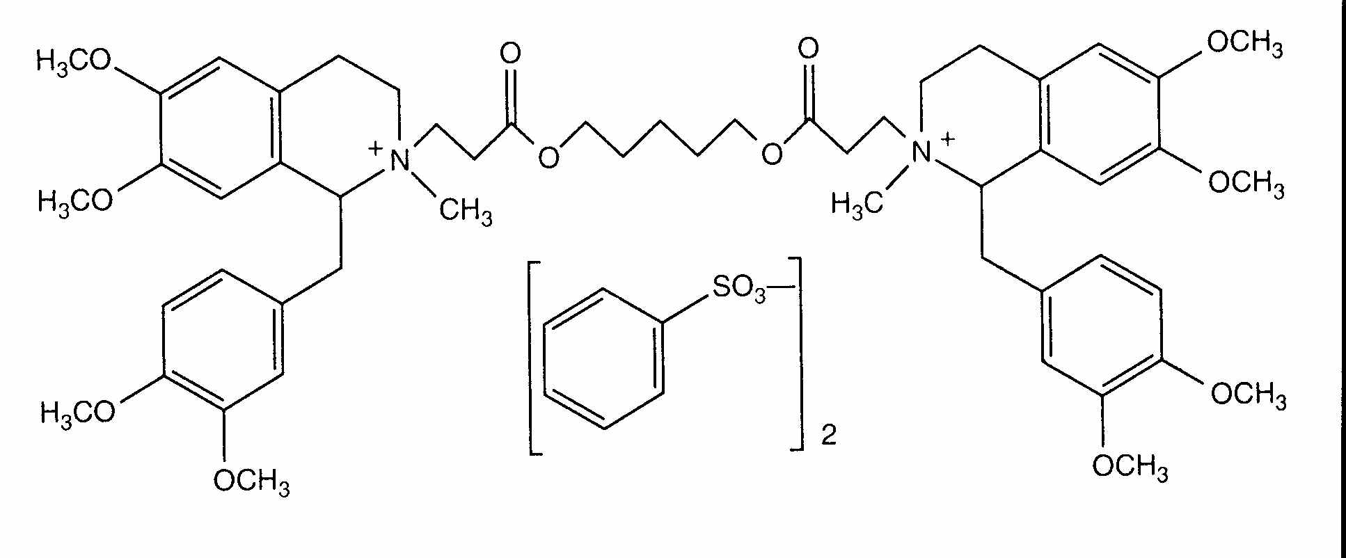
   Cấu trúc hóa học  

Tên thương mại   Tên thương mại     

Các tên thương mại được cung cấp và thành phần tá dược có thể khác nhau giữa các quốc gia và các hãng dược

Abbocurium Ba Lan
Acurmil Ý
Ancour Iran
Anecur Iran
Atacur Ả Rập Saudi
Atrabesylate Ả Rập
Atracurio Argentina, Brazil, Tây Ban Nha
Atracurio besilato Chile, Peru, Venezuela, Ý
Atracurium Ả Rập, Ả Rập Saudi, Anh, Áo, Argentina, Iran, Malaysia, Thụy Điển, United Arab Emirates, Ý, Đức
Atracurium besilat Áo
Atracurium besilate Ả Rập, Ả Rập Saudi, Canada, Hoa Kỳ, Iran, new zealand, Úc, United Arab Emirates
Atralex Malaysia
Atrasyl Thổ Nhĩ Kỳ
Besilato Atracurio Bồ Đào Nha, Chile, Tây Ban Nha
Faulcurium Ả Rập, Bồ Đào Nha
Gelolagar Argentina
Laurak Tây Ban Nha
Neucurium Thổ Nhĩ Kỳ
Notrixum Thổ Nhĩ Kỳ
Relactrac Colombia
Relatrac Mexico
Tracrium Ả Rập, Ả Rập Saudi, Anh, Áo, Ba Lan, Bỉ, Bồ Đào Nha, Chile, Colombia, Ecuador, Hà Lan, Hoa Kỳ, Hungary, Hy Lạp, Iran, Ireland, Luxembourg, Malaysia, Mexico, Morocco, new zealand, Pháp, Romania, Slovenia, Tây Ban Nha, Thổ Nhĩ Kỳ, Thụy Sỹ, United Arab Emirates, Ý, Đức
Tracumek Peru
Tracurix Argentina
Tracuron Argentina
Độ ổn định khi trộn lẫn   Dạng tiêm   Độ ổn định khi trộn lẫn : Atracurium besylate     
Bao bì Dung môi Nồng độ Phân tử Nhiệt độ Bảo quản Thời gian ổn định Mục lục
Thủy tinh Glucose 5% 0,5 mg/ml
Dạng tiêm   Atracurium besylate   
Dạng tiêm   Milrinone lactate 0,2 mg/ml
22°C-23°C
4 Giờ
Ánh sáng 813
Cấp độ bằng chứng A
Thủy tinh Glucose 5% 1 & 5 mg/ml
Dạng tiêm   Atracurium besylate   
Dạng tiêm   Midazolam hydrochloride 0,1 & 0,5 mg/ml
25°C
3 Giờ
Ánh sáng 865
Cấp độ bằng chứng C

  Mentions Légales