Ostatnia aktualizacja :
27/04/2026
Lek kuraropodobny   Atracurium besylate  
Injekcje
Trwałość roztworów Trwałość w mieszaninie Czynnik wpływający na trwałość Zgodność Sposób podania Bibliografia pdf
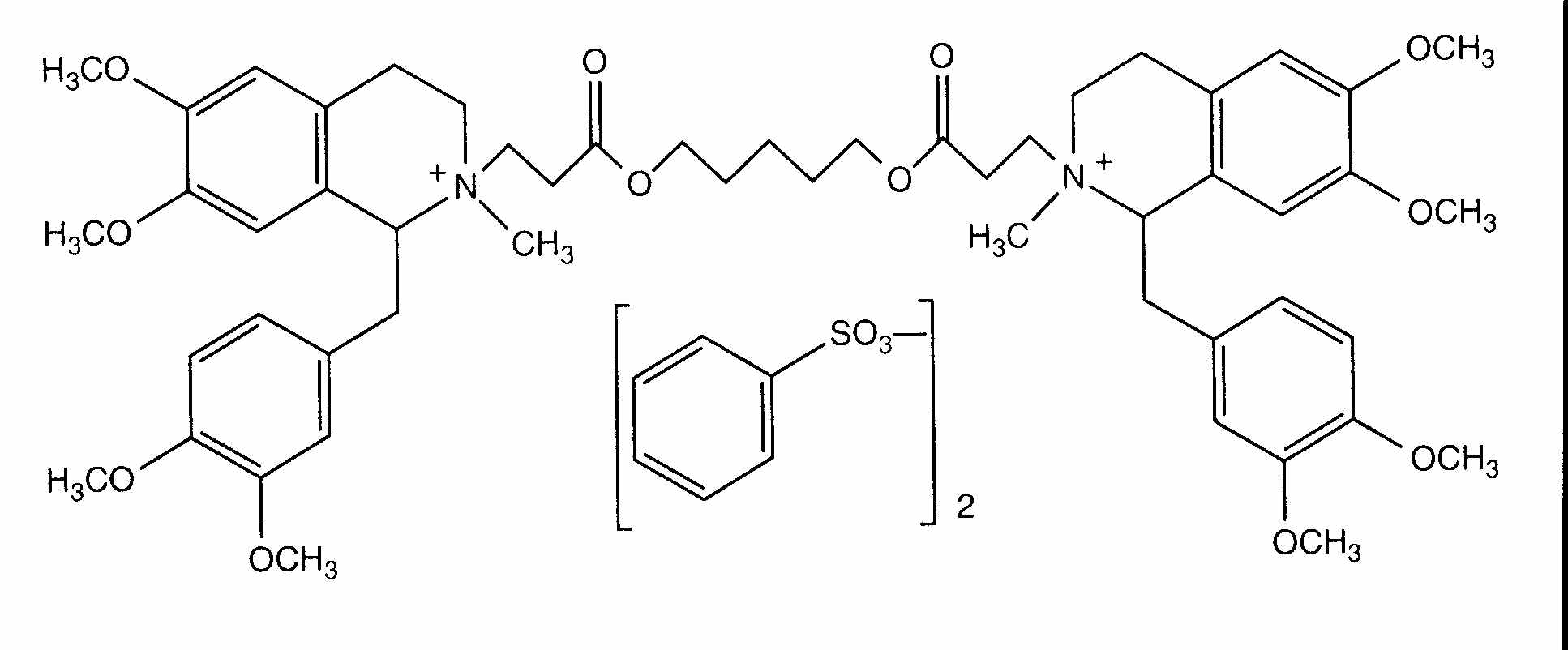
   Struktura chemiczna  

Nazwa handlowa   Nazwa handlowa     

Trade names are indicative and excipients composition can be different depending on the country and manufacturers

Abbocurium Polska
Acurmil Włochy
Ancour Iran
Anecur Iran
Atacur Arabia Saudyjska
Atrabesylate Egipt
Atracurio Argentyna, Brazylia, Hiszpania
Atracurio besilato Chile, Peru, Wenezuela, Włochy
Atracurium Arabia Saudyjska, Argentyna, Austria, Egipt, Iran, Malezja, Niemcy, Szwecja, Wielka Brytania, Włochy, Zjednoczone Emiraty Arabskie
Atracurium besilat Austria
Atracurium besilate Arabia Saudyjska, Australia, Egipt, Iran, Kanada, nowa Zelandia, Stany Zjednoczone Ameryki, Zjednoczone Emiraty Arabskie
Atralex Malezja
Atrasyl Turcja
Besilato Atracurio Chile, Hiszpania, Portugalia
Faulcurium Egipt, Portugalia
Gelolagar Argentyna
Laurak Hiszpania
Neucurium Turcja
Notrixum Turcja
Relactrac KolumbiaKolumbia
Relatrac Meksyk
Tracrium Arabia Saudyjska, Austria, Belgia, Chile, Egipt, Ekwador, Francja , Grecja, Hiszpania, Holandia, Iran, Irlandia, KolumbiaKolumbia, Luksemburg, Malezja, Maroko, Meksyk, Niemcy, nowa Zelandia, Polska, Portugalia, Rumunia, Stany Zjednoczone Ameryki, Szwajcaria, Słowenia, Turcja, Węgry, Wielka Brytania, Włochy, Zjednoczone Emiraty Arabskie
Tracumek Peru
Tracurix Argentyna
Tracuron Argentyna
Trwałość w mieszaninie   Injekcje   Trwałość w mieszaninie : Atracurium besylate     
Pojemnik Rozpuszczalnik Stężenie Związek Temperatura Przechowywanie Czas trwania stabilności Bibliografia
Szkło Glukoza 5% 0,5 mg/ml
Injekcje   Atracurium besylate   
Injekcje   Milrinone lactate 0,2 mg/ml
22°C-23°C
4 Godzina
światło 813
Poziom wiarygodności A
Szkło Glukoza 5% 1 & 5 mg/ml
Injekcje   Atracurium besylate   
Injekcje   Midazolam hydrochloride 0,1 & 0,5 mg/ml
25°C
3 Godzina
światło 865
Poziom wiarygodności C

  Mentions Légales