Pēdējā atjaunošana :
27/04/2026
Kurarīnmimētiķis   Atracurium besylate  
Injekcija
Šķīduma stabilitāte Maisījuma stabilitāte Stabilitāti ietekmējoši faktori Saderība Levadīšanas veids Literatūras saraksts pdf
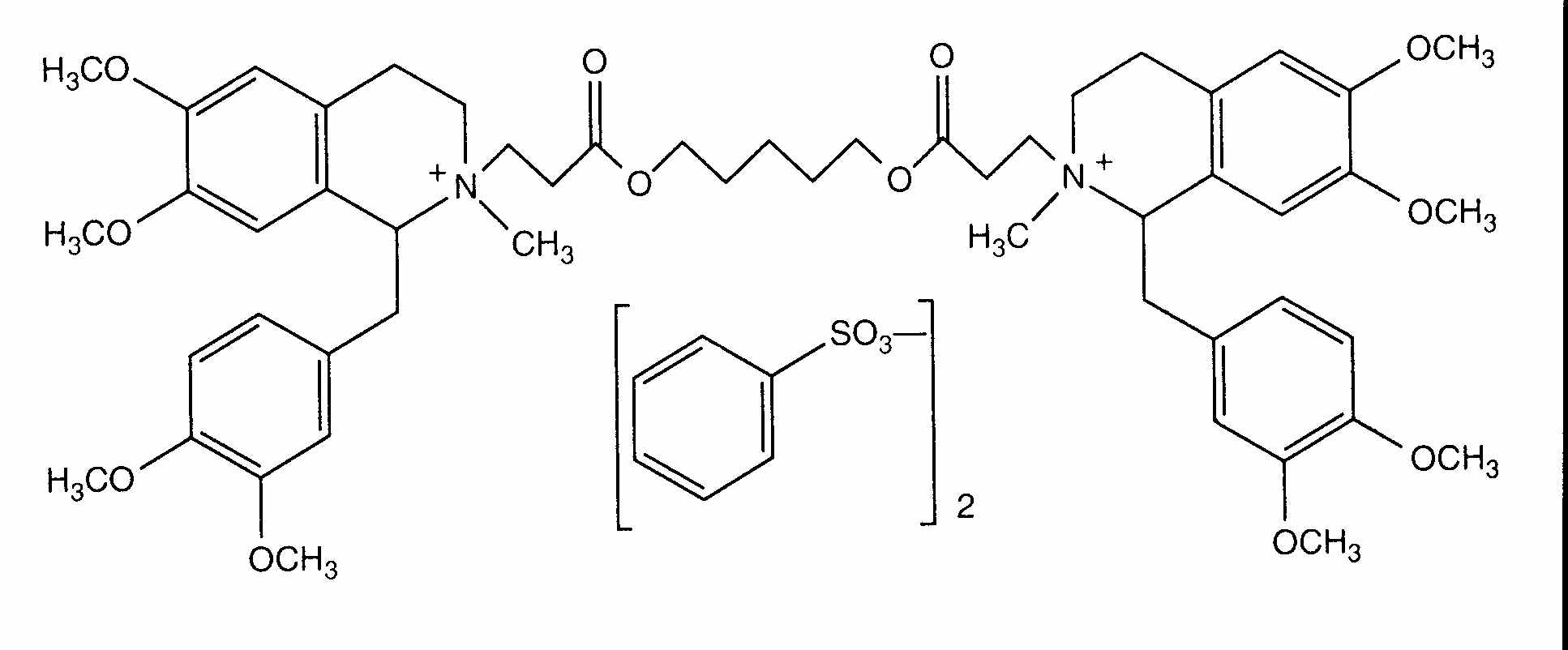
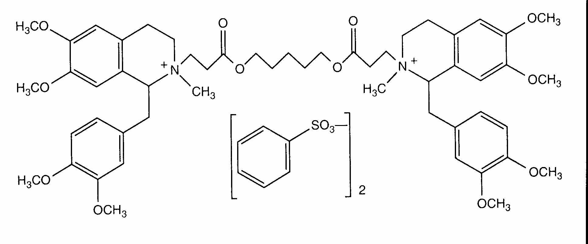
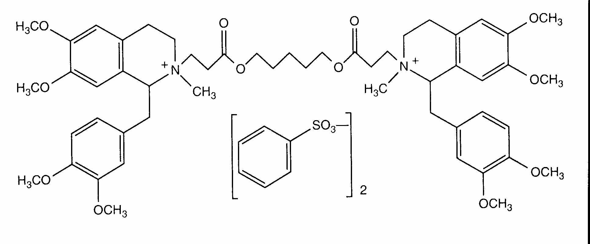
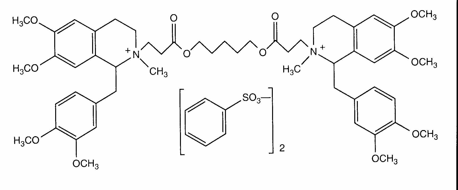
   Ķīmiskā uzbūve   

Oriģinālais nosaukums   Oriģinālais nosaukums     

Tirdzniecības nosaukumi ir apzīmējoši un palīgvielas var atšķirties dažādām valstīm un laboratorijām

Abbocurium Polija
Acurmil Itālija
Ancour Irāna
Anecur Irāna
Atacur Saūda Arābija
Atrabesylate Ēģipte
Atracurio Argentīna, Brazīlija, Spānija
Atracurio besilato Čīle, Itālija, Peru, Venecuēla
Atracurium Apvienotie Arābu Emirāti, Argentīna, Austrija, Ēģipte, Irāna, Itālija, Lielbritānija, Malaizija, Saūda Arābija, Vācija, Zviedrija
Atracurium besilat Austrija
Atracurium besilate Amerikas Savienotās Valstis, Apvienotie Arābu Emirāti, Austrālija, Ēģipte, Irāna, Jaunzēlande, Kanāda, Saūda Arābija
Atralex Malaizija
Atrasyl Turcija
Besilato Atracurio Čīle, Portugāle, Spānija
Faulcurium Ēģipte, Portugāle
Gelolagar Argentīna
Laurak Spānija
Neucurium Turcija
Notrixum Turcija
Relactrac Kolumbija
Relatrac Meksika
Tracrium Amerikas Savienotās Valstis, Apvienotie Arābu Emirāti, Austrija, Beļģija, Čīle, Ēģipte, Ekvadora, Francija, Grieķija, Holande, Irāna, Īrija, Itālija, Jaunzēlande, Kolumbija, Lielbritānija, Luksemburga, Malaizija, Maroka, Meksika, Polija, Portugāle, Rumānija, Saūda Arābija, Slovēnija, Spānija, Šveice, Turcija, Ungārija, Vācija
Tracumek Peru
Tracurix Argentīna
Tracuron Argentīna
Maisījuma stabilitāte   Injekcija   Maisījuma stabilitāte : Atracurium besylate     
Iepakojums Šķīdinātājs Koncentrācija Savienojums Temperatūra Glabāšana Stabilitātes ilgums Literatūras saraksts
Stikls 5% glikoze 0,5 mg/ml
Injekcija   Atracurium besylate   
Injekcija   Milrinone lactate 0,2 mg/ml
22°C-23°C
4 Stunda
Gaisma 813
Pierādījumu līmenis A
Stikls 5% glikoze 1 & 5 mg/ml
Injekcija   Atracurium besylate   
Injekcija   Midazolam hydrochloride 0,1 & 0,5 mg/ml
25°C
3 Stunda
Gaisma 865
Pierādījumu līmenis C

  Mentions Légales