Son güncelleme :
27/04/2026
Kurarimimetik   Atracurium besylate  
Enjeksiyon
Çözeltilerin stabilitesi Karışımlardaki stabilitesi Stabiliteyi etkileyen faktörler Uyumluluk Uygulama yöntemi Kaynaklar pdf
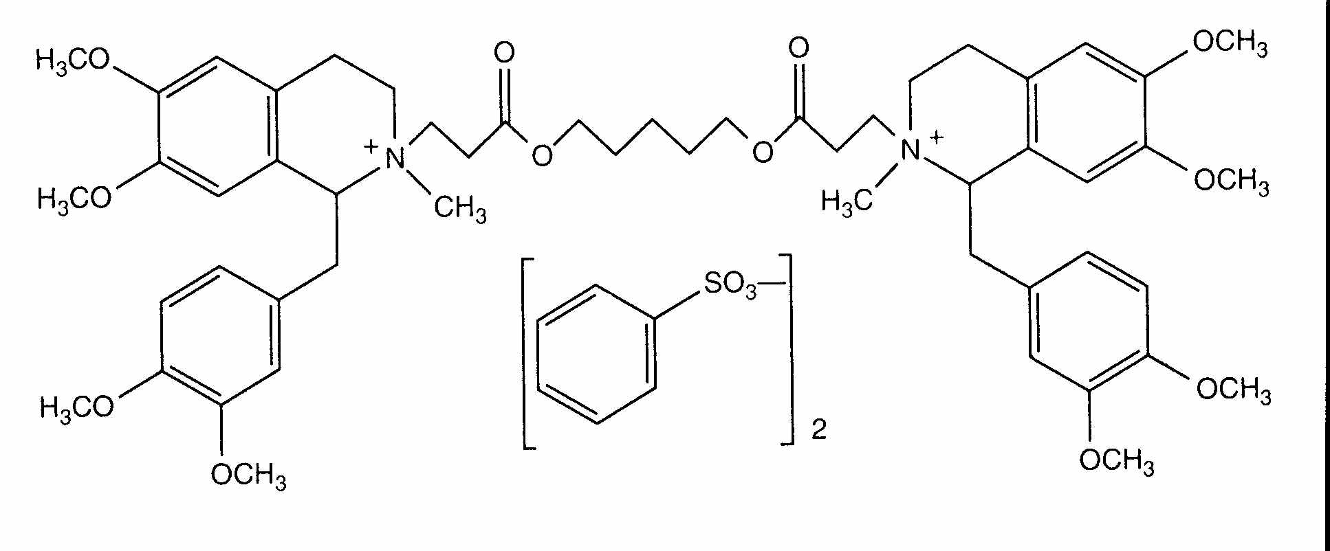
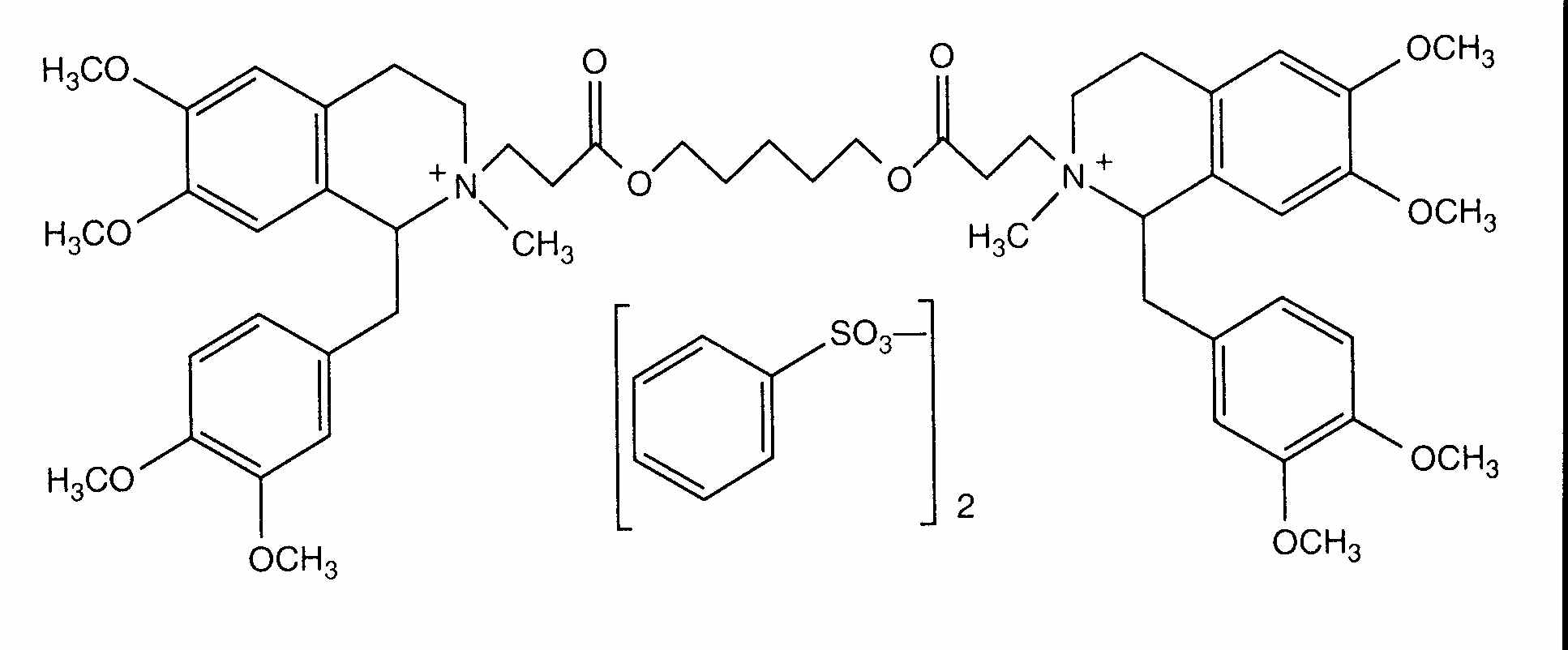
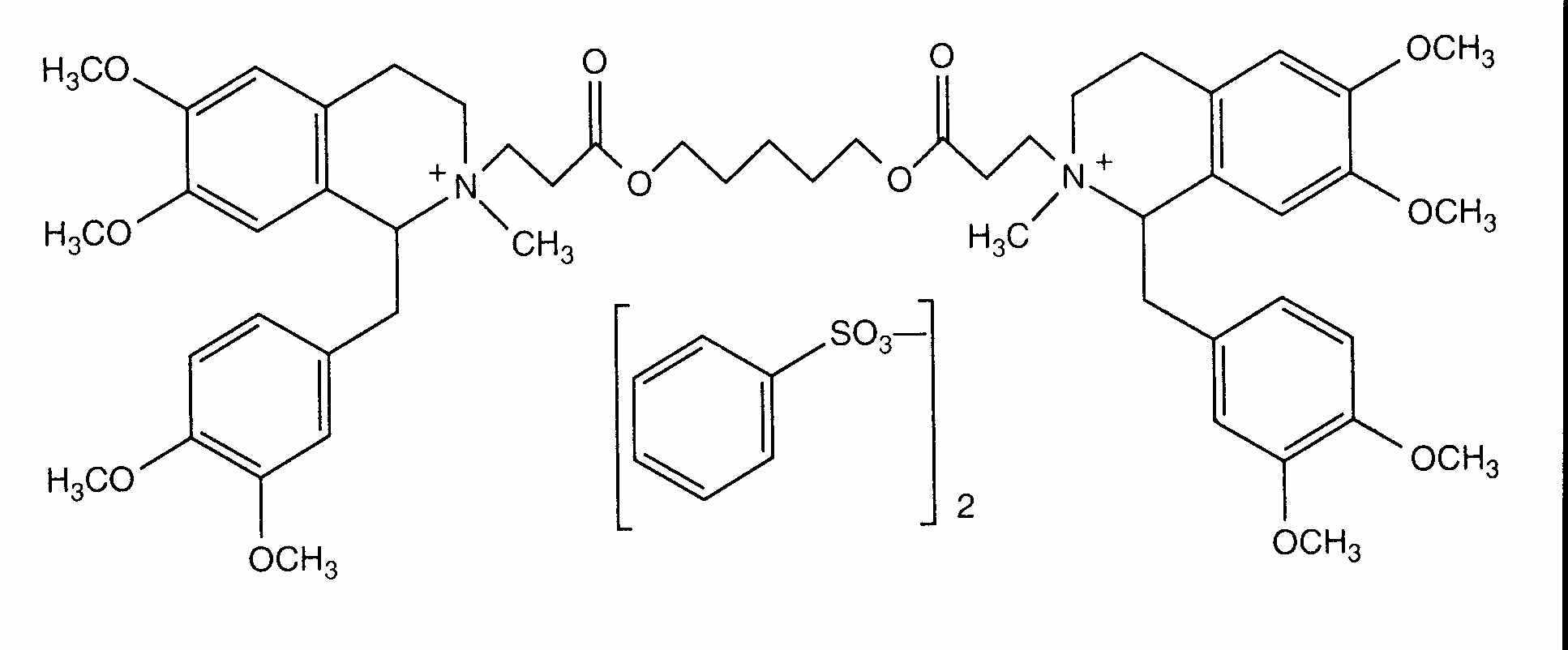
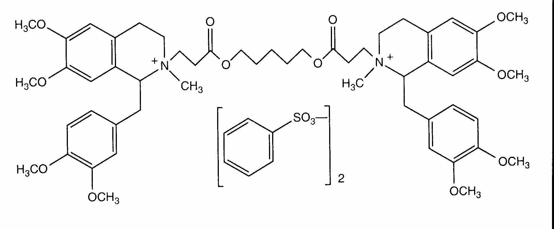
   Kimyasal yapı   

Ticari isim   Ticari isim     

Trade names are indicative and excipients composition can be different depending on the country and manufacturers

Abbocurium Polonya
Acurmil İtalya
Ancour İran
Anecur İran
Atacur Suudi Arabistan
Atrabesylate Mısır
Atracurio Arjantin, Brezilya, İspanya
Atracurio besilato İtalya, Peru, Şili, Venezuela
Atracurium Almanya, Arjantin, Avusturya, Birleşik Arap Emirlikleri, Büyük Britanya, İran, İsveç, İtalya, Malezya, Mısır, Suudi Arabistan
Atracurium besilat Avusturya
Atracurium besilate Amerika Birleşik Devletleri, Avustralya, Birleşik Arap Emirlikleri, İran, Kanada, Mısır, Suudi Arabistan, yeni Zelanda
Atralex Malezya
Atrasyl Türkiye
Besilato Atracurio İspanya, Portekiz, Şili
Faulcurium Mısır, Portekiz
Gelolagar Arjantin
Laurak İspanya
Neucurium Türkiye
Notrixum Türkiye
Relactrac Kolombiya
Relatrac Meksika
Tracrium Almanya, Amerika Birleşik Devletleri, Avusturya, Belçika, Birleşik Arap Emirlikleri, Büyük Britanya, Ekvador, Fas, Fransa, Hollanda, İran, İrlanda, İspanya, İsviçre, İtalya, Kolombiya, Lüksemburg, Macaristan, Malezya, Meksika, Mısır, Polonya, Portekiz, Romanya, Şili, Slovenya, Suudi Arabistan, Türkiye, yeni Zelanda, Yunanistan
Tracumek Peru
Tracurix Arjantin
Tracuron Arjantin
Karışımlardaki stabilitesi   Enjeksiyon    Karışımlardaki stabilitesi : Atracurium besylate     
Saklama kabı Çözücü Konsantrasyon Bileşik Isı Saklama    Stabilite süresi Kaynaklar
Cam Glukoz %5 0,5 mg/ml
Enjeksiyon   Atracurium besylate   
Enjeksiyon   Milrinone lactate 0,2 mg/ml
22°C-23°C
4 Zaman
I_ık 813
Kanıt düzeyi A
Cam Glukoz %5 1 & 5 mg/ml
Enjeksiyon   Atracurium besylate   
Enjeksiyon   Midazolam hydrochloride 0,1 & 0,5 mg/ml
25°C
3 Zaman
I_ık 865
Kanıt düzeyi C

  Mentions Légales