Последнее обновление :
27/04/2026
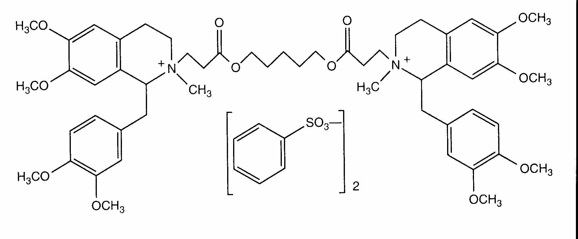
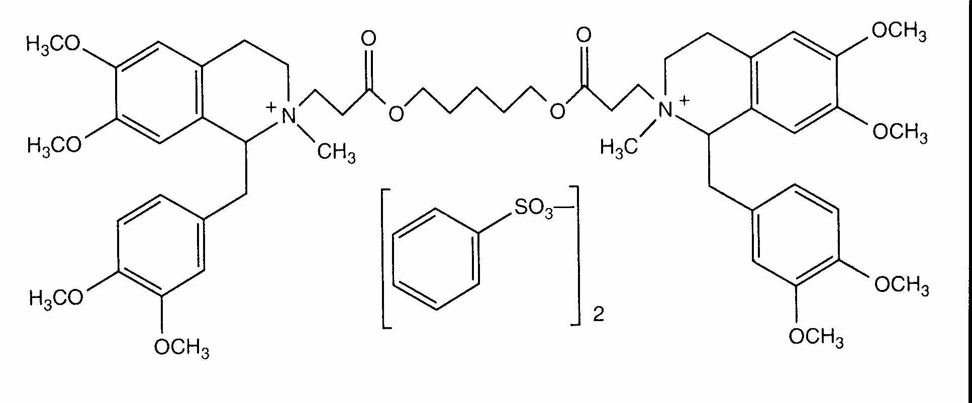
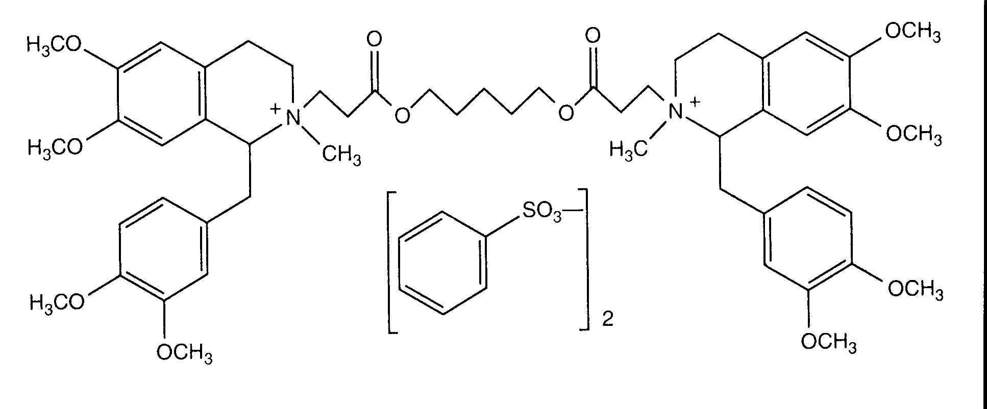
Кураримиметик   Atracurium besylate  
Инъекция
Стабильность растворов Стабильность смесей Факторы, которые влияют на стабильность Совместимость Способы введения Библиография pdf
   Химическая структура  

Товарное название   Товарное название     

Trade names are indicative and excipients composition can be different depending on the country and manufacturers

Abbocurium Польша
Acurmil Италия
Ancour Иран
Anecur Иран
Atacur Саудовская Аравия
Atrabesylate Египет
Atracurio Аргентина, Бразилия, Испания
Atracurio besilato Венесуэла, Италия, Перу, чили
Atracurium Австрия, Аргентина, Великобритания, Германия, Египет, Иран, Италия, Малайзия, Объединенные Арабские Эмираты, Саудовская Аравия, Швеция
Atracurium besilat Австрия
Atracurium besilate Австралия, Египет, Иран, Канада, новая Зеландия, Объединенные Арабские Эмираты, Саудовская Аравия, Соединённые Штаты Америки
Atralex Малайзия
Atrasyl Турция
Besilato Atracurio Испания, Португалия, чили
Faulcurium Египет, Португалия
Gelolagar Аргентина
Laurak Испания
Neucurium Турция
Notrixum Турция
Relactrac Колумбия
Relatrac Мексика
Tracrium Австрия, Бельгия, Великобритания, Венгрия, Германия, Голландия, Греция, Египет, Иран, Ирландия, Испания, Италия, Колумбия, Люксембург, Малайзия, Марокко, Мексика, новая Зеландия, Объединенные Арабские Эмираты, Польша, Португалия, Румыния, Саудовская Аравия, Словения, Соединённые Штаты Америки, Турция, Франция, чили, Швейцария, Эквадор
Tracumek Перу
Tracurix Аргентина
Tracuron Аргентина
Стабильность смесей   Инъекция   Стабильность смесей : Atracurium besylate     
Упаковка Растворитель Концентрация Молекула Температура Хранение Продолжительность стабильности Ссылки
Стекло Глюкоза 5% 0,5 mg/ml
Инъекция   Atracurium besylate   
Инъекция   Milrinone lactate 0,2 mg/ml
22°C-23°C
4 Час
Свет 813
Уровень доказательности A
Стекло Глюкоза 5% 1 & 5 mg/ml
Инъекция   Atracurium besylate   
Инъекция   Midazolam hydrochloride 0,1 & 0,5 mg/ml
25°C
3 Час
Свет 865
Уровень доказательности C

  Mentions Légales