Posledná aktualizácia :
27/04/2026
kurarimimetikum/periférne myorelaxans   Atracurium besylate  
Injekcia
Stabilita roztokov Stabilita v zmesiach Faktory ovplyvňujúce stabilitu Kompatibility spôsob podania Odkazy na literatúru PDF
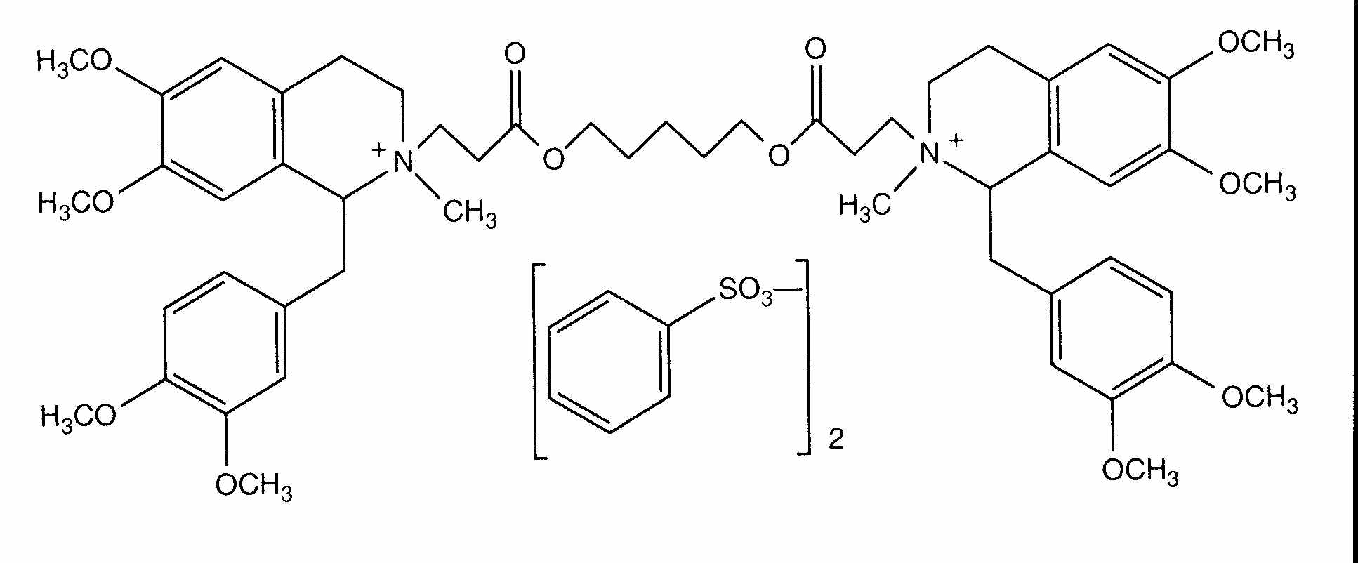
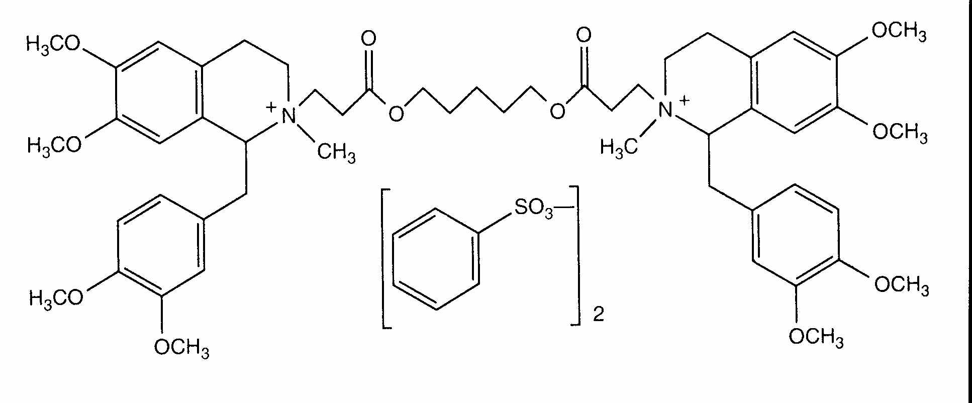
   Chemický vzorec  

Obchodný názov   Obchodný názov     

Obchodné názvy sú orientačné, a zloženie pomocných látok sa môže líšiť v závislosti od krajiny a výrobcu.

Abbocurium Poľsko
Acurmil Taliansko
Ancour Irán
Anecur Irán
Atacur Saudská Arábia
Atrabesylate Egypt
Atracurio Argentína, Brazília, Španielsko
Atracurio besilato Čile, peru, Taliansko, Venezuela
Atracurium Argentína, Egypt, Irán, Malajzia, Nemecko, Rakúsko, Saudská Arábia, Spojené arabské emiráty, Švédsko, Taliansko, Veľká Británia
Atracurium besilat Rakúsko
Atracurium besilate Austrália, Egypt, Irán, Kanada, nový Zéland, Saudská Arábia, Spojené arabské emiráty, Spojené štáty Americké
Atralex Malajzia
Atrasyl Turecko
Besilato Atracurio Čile, Portugalsko, Španielsko
Faulcurium Egypt, Portugalsko
Gelolagar Argentína
Laurak Španielsko
Neucurium Turecko
Notrixum Turecko
Relactrac Kolumbia
Relatrac Mexiko
Tracrium Belgicko, Čile, Egypt, Ekvádor, Francúzsko, Grécko, Holandsko, Irán, Írsko, Kolumbia, Luxembursko, Maďarsko, Malajzia, Maroko, Mexiko, Nemecko, nový Zéland, Poľsko, Portugalsko, Rakúsko, Rumunsko, Saudská Arábia, Slovinsko, Španielsko, Spojené arabské emiráty, Spojené štáty Americké, Švajčiarsko, Taliansko, Turecko, Veľká Británia
Tracumek peru
Tracurix Argentína
Tracuron Argentína
Stabilita v zmesiach   Injekcia   Stabilita v zmesiach : Atracurium besylate     
obal rozpúšťadlo koncentrácia Zlúčenina teplota uchovávanie Trvanie stability odkazy na lieteratúru
Sklo 5% glukóza 0,5 mg/ml
Injekcia   Atracurium besylate   
Injekcia   Milrinone lactate 0,2 mg/ml
22°C-23°C
4 hodín
Za svetla 813
Úroveň dôkazov A
Sklo 5% glukóza 1 & 5 mg/ml
Injekcia   Atracurium besylate   
Injekcia   Midazolam hydrochloride 0,1 & 0,5 mg/ml
25°C
3 hodín
Za svetla 865
Úroveň dôkazov C

  Mentions Légales