Última actualización :
27/01/2026
anti-demencia   Pimavanserin  
Solución Oral
La estabilidad de las preparaciones farmacéuticas Estabilidad en mezcla Factores que influyen sobre la estabilidad Compatibilidades Bibliografía pdf
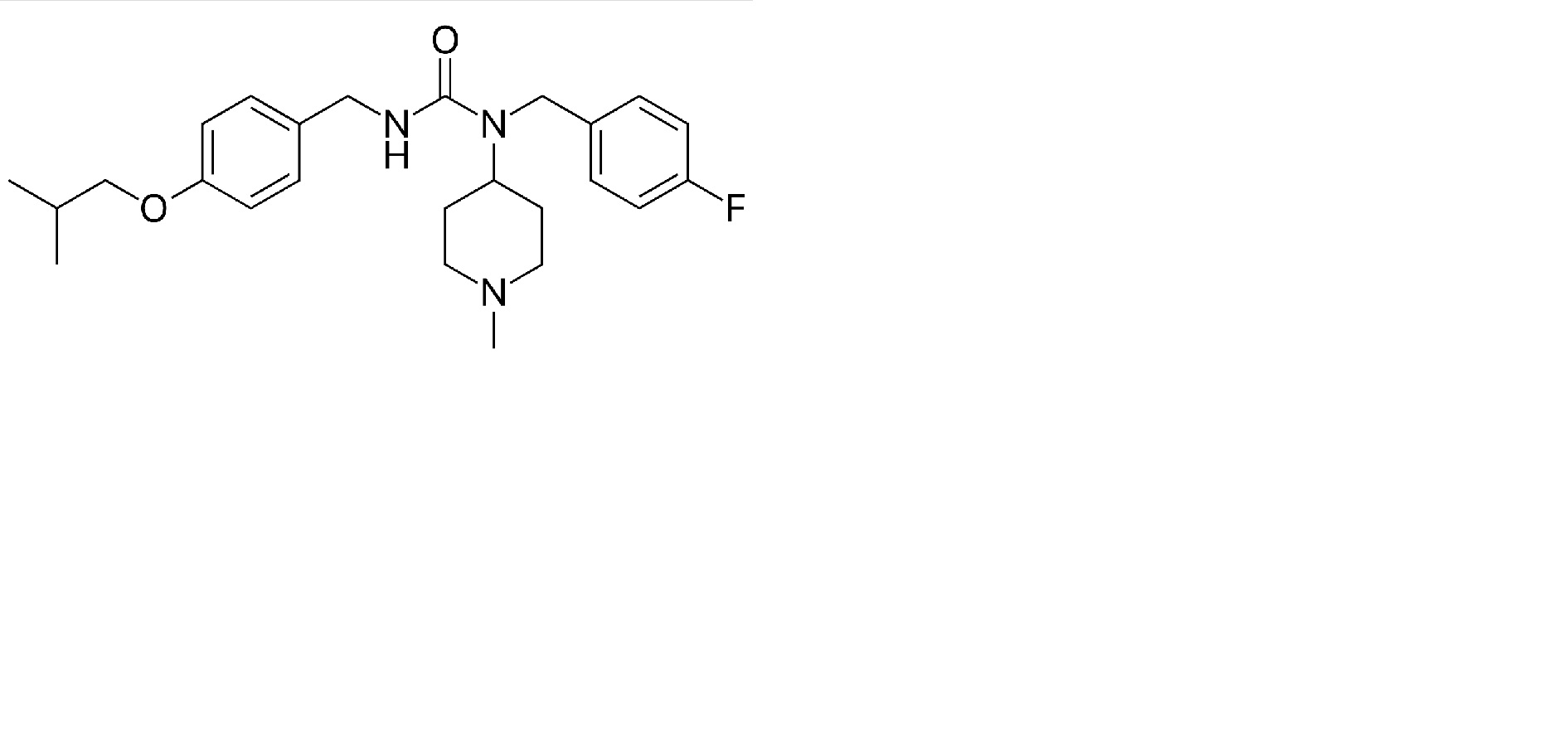
   Estructura química  

Solución Oral
La estabilidad de las preparaciones farmacéuticas   Solución Oral   La estabilidad de las preparaciones farmacéuticas : Pimavanserin     
Envase Origine Excipiente Temperatura Conservación Duración de la estabilidad Bibliografía
No precisado Cápsulas 34 mg
Nuplazid®
Agua purificada >> 40 mL
25°C No precisada
24 Hora
4484
No precisado Cápsulas 34 mg
Nuplazid®
Esencia de naranja >> 60 mL
25°C No precisada
24 Hora
4484
No precisado Cápsulas 34 mg
Nuplazid®
Puré de manzana >> 40 g
25°C No precisada
24 Hora
4484

  Mentions Légales