最新更新 :
03/03/2026
抗認知症   Pimavanserin  
経口液
調剤時の安定性 混合時の安定性 安定性に影響する因子 互換性 引用文献 PDF
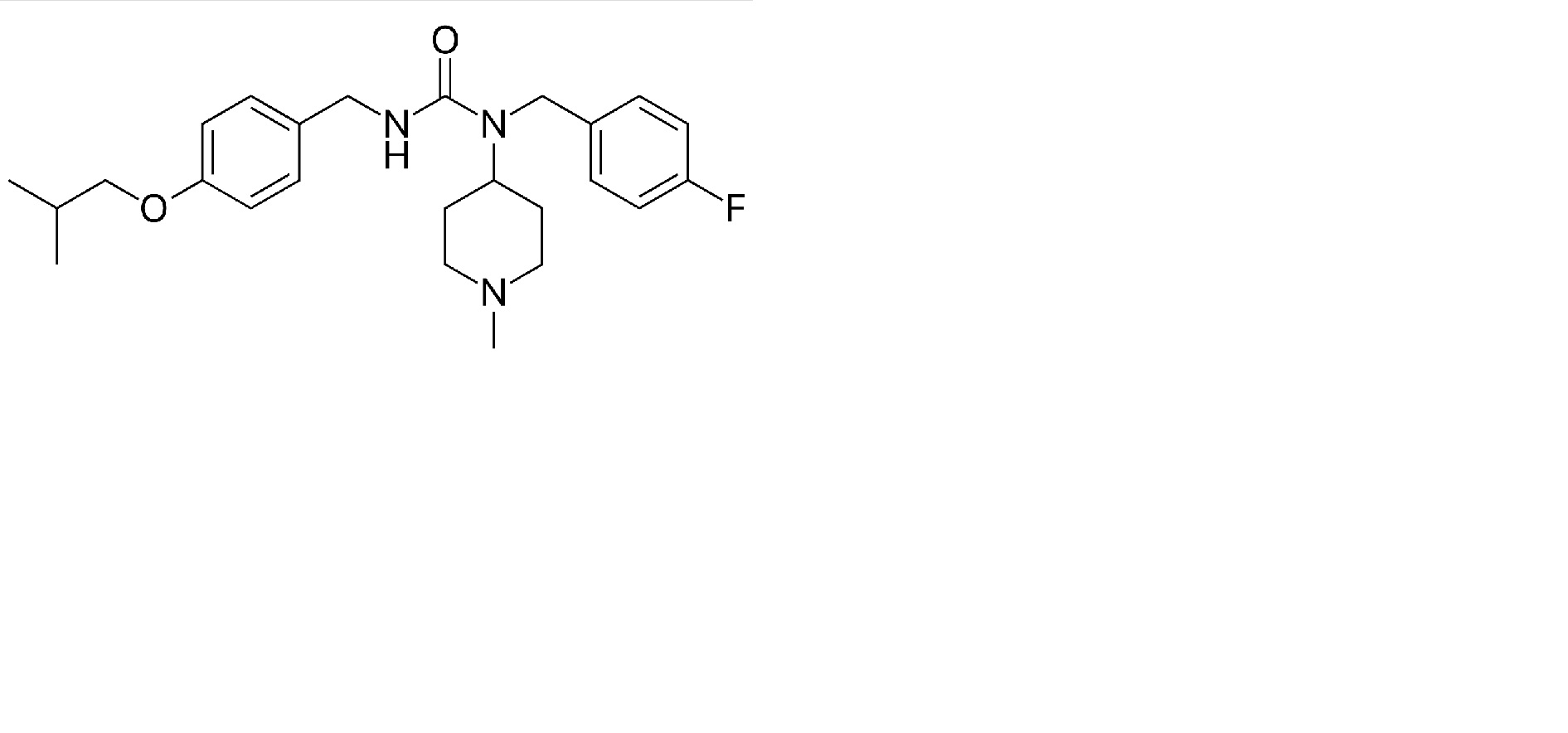
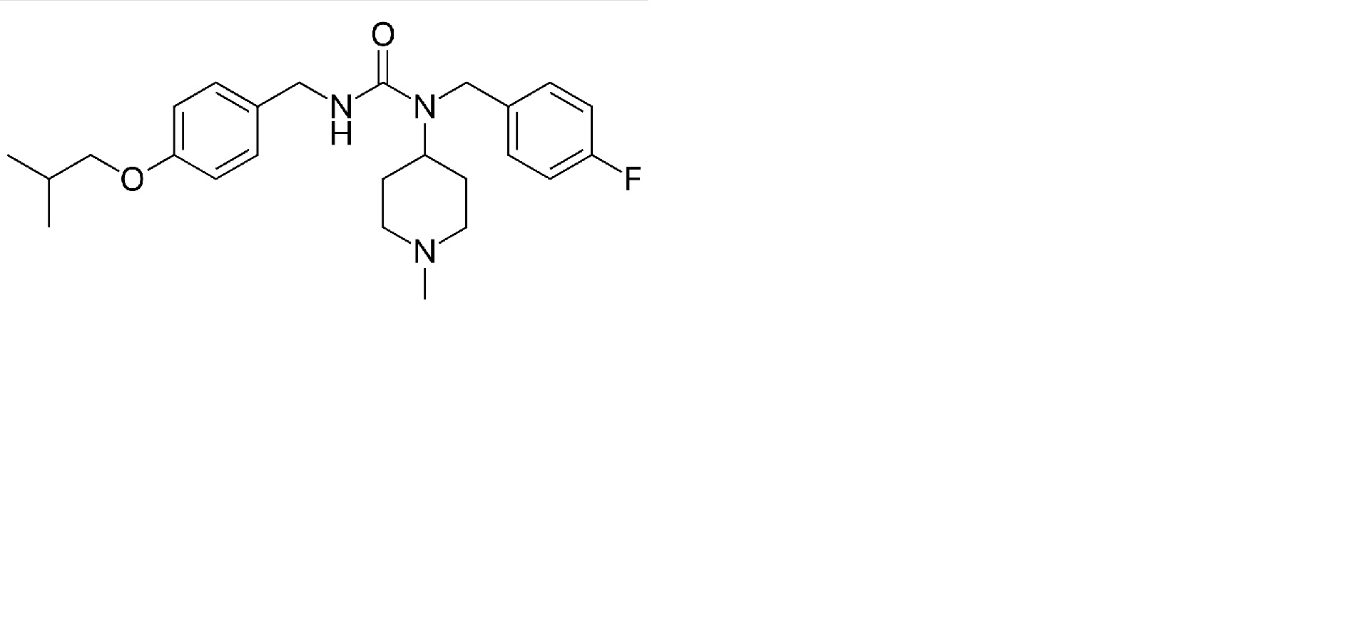
   化学構造  

経口液
調剤時の安定性   経口液   調剤時の安定性 : Pimavanserin     
容器 Origine 添加剤 温度 保管 安定期間 引用文献
指定なし カプセル 34 mg
Nuplazid®
精製水 >> 40 mL
25°C 特記なし
24 時間
4484
指定なし カプセル 34 mg
Nuplazid®
オレンジジュース >> 60 mL
25°C 特記なし
24 時間
4484
指定なし カプセル 34 mg
Nuplazid®
Applesauce >> 40 g
25°C 特記なし
24 時間
4484

  Mentions Légales