Последнее обновление :
18/03/2026
анти слабоумие   Pimavanserin  
Раствор для перорального приёма
Стабильность фармацевтических препаратов Стабильность смесей Факторы, которые влияют на стабильность Совместимость Библиография pdf
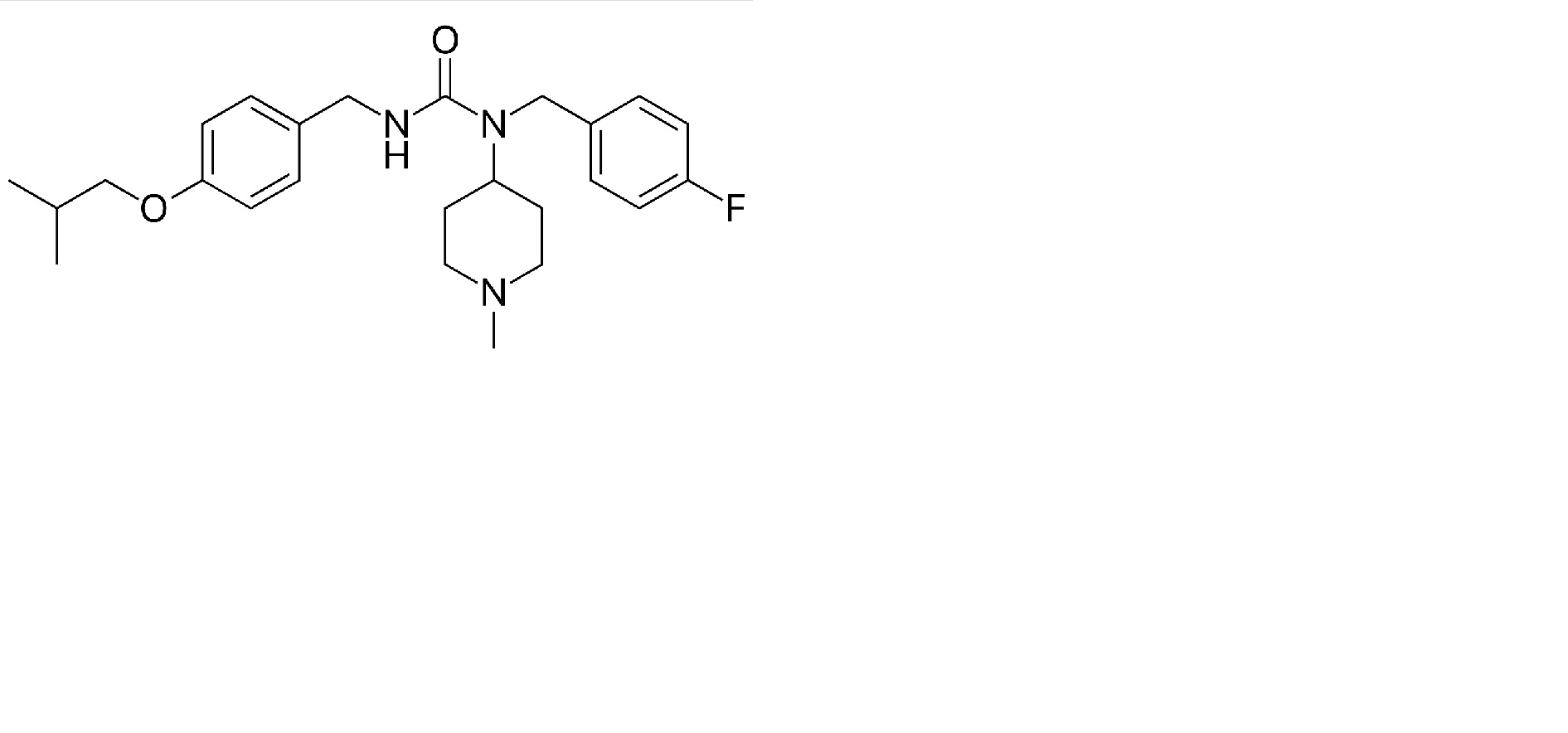
   Химическая структура  

Раствор для перорального приёма
Стабильность фармацевтических препаратов   Раствор для перорального приёма   Стабильность фармацевтических препаратов : Pimavanserin     
Упаковка Origine Наполнитель Температура Хранение Продолжительность стабильности Ссылки
Не указано Капсулы 34 mg
Nuplazid®
Очищенная вода >> 40 mL
25°C Не указано
24 Час
4484
Не указано Капсулы 34 mg
Nuplazid®
Апельсиновый сок >> 60 mL
25°C Не указано
24 Час
4484
Не указано Капсулы 34 mg
Nuplazid®
Яблочное пюре >> 40 g
25°C Не указано
24 Час
4484

  Mentions Légales