Last update :
27/01/2026
Antidementia   Pimavanserin  
Oral solution
Stability of pharmaceutical preparations Stability of mixtures Factors which affect stability Compatibility References pdf
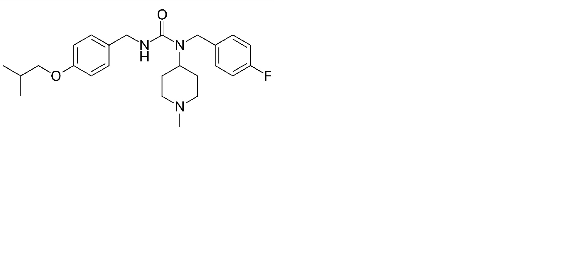
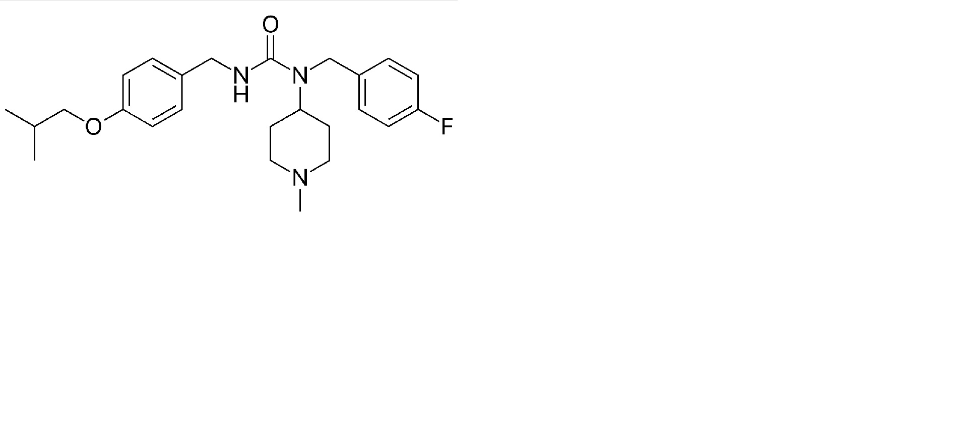
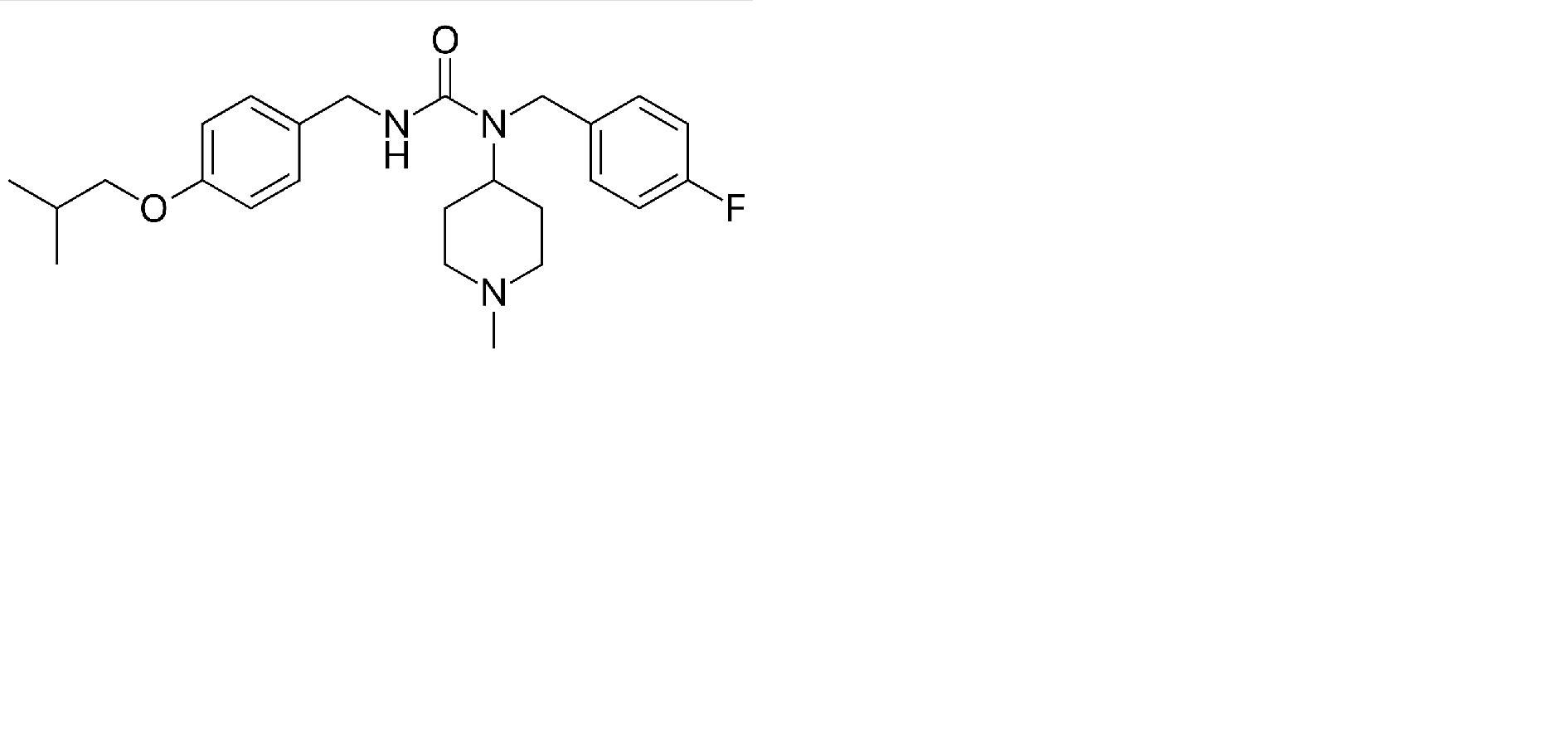
   Chemical structure  

Oral solution
Stability of pharmaceutical preparations   Oral solution   Stability of pharmaceutical preparations : Pimavanserin     
Container Origine excipient Temperature Storage Duration of stability References
Not specified Kapseln 34 mg
Nuplazid®
Purified water >> 40 mL
25°C Not specified
24 Hour
4484
Not specified Kapseln 34 mg
Nuplazid®
Orange juice >> 60 mL
25°C Not specified
24 Hour
4484
Not specified Kapseln 34 mg
Nuplazid®
Applesauce >> 40 g
25°C Not specified
24 Hour
4484

  Mentions Légales