Letztes “update” :
27/01/2026
Antidementivum   Pimavanserin  
Lösung zum Einnehmen
Stabilität von pharmazeutischen Präparaten Gemengestabilität Stabilitätbeeinflussende Faktoren Kompatibilitäten Literaturverzeichnis pdf
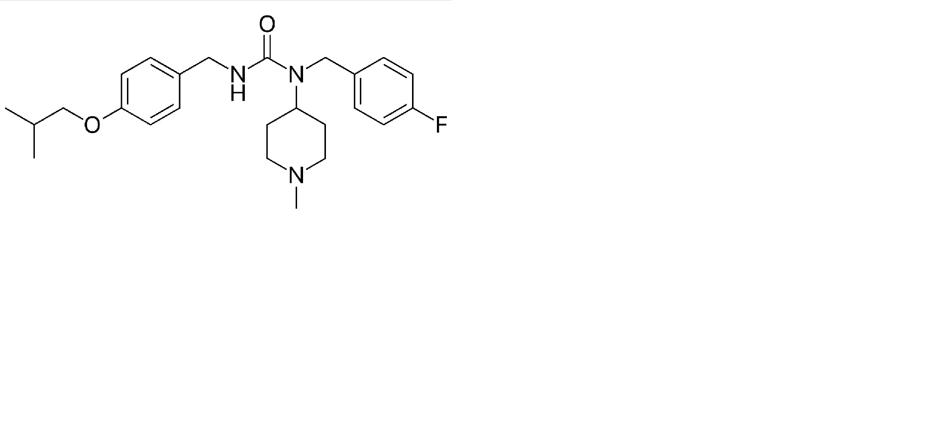
   Chemische Struktur  

Lösung zum Einnehmen
Stabilität von pharmazeutischen Präparaten   Lösung zum Einnehmen   Stabilität von pharmazeutischen Präparaten : Pimavanserin     
Behälter Origine Hilfsstoff Temperatur Konservierung Dauer der Stabilität Literaturverzeichnis
Nicht genau angegeben Kapseln 34 mg
Nuplazid®
Gereinigtes Wasser >> 40 mL
25°C Nicht genau angegeben
24 Stunde
4484
Nicht genau angegeben Kapseln 34 mg
Nuplazid®
Orangensaft >> 60 mL
25°C Nicht genau angegeben
24 Stunde
4484
Nicht genau angegeben Kapseln 34 mg
Nuplazid®
Apfelmus >> 40 g
25°C Nicht genau angegeben
24 Stunde
4484

  Mentions Légales