Seneste opdatering :
27/01/2026
anti demens   Pimavanserin  
Oral opløsning
Stabilitet af farmaceutiske tilberedninger Stabilitet i blandinger Faktorer der påvirker stabiliteten Kompatibilitet Bibliografi pdf
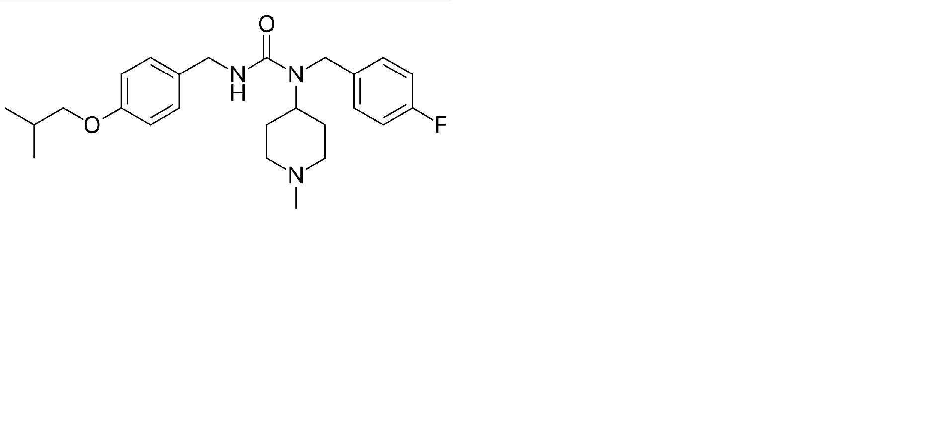
   Kemisk struktur  

Oral opløsning
Stabilitet af farmaceutiske tilberedninger   Oral opløsning   Stabilitet af farmaceutiske tilberedninger : Pimavanserin     
Beholder Origine Hjælpestof Temperatur Konservering Varighed af stabilitet Bibliografi
Ikke angivet nærmere Kapsel 34 mg
Nuplazid®
Renset vand >> 40 mL
25°C Ikke nærmere angivet
24 Time
4484
Ikke angivet nærmere Kapsel 34 mg
Nuplazid®
Appelsinsaft >> 60 mL
25°C Ikke nærmere angivet
24 Time
4484
Ikke angivet nærmere Kapsel 34 mg
Nuplazid®
Æblemos >> 40 g
25°C Ikke nærmere angivet
24 Time
4484

  Mentions Légales