Dernière mise à jour :
27/04/2026
Anti-démence   Pimavanserin  
Solution buvable
Stabilité des préparations Stabilité en mélange Facteur influençant la stabilité Compatibilités Bibliographie pdf
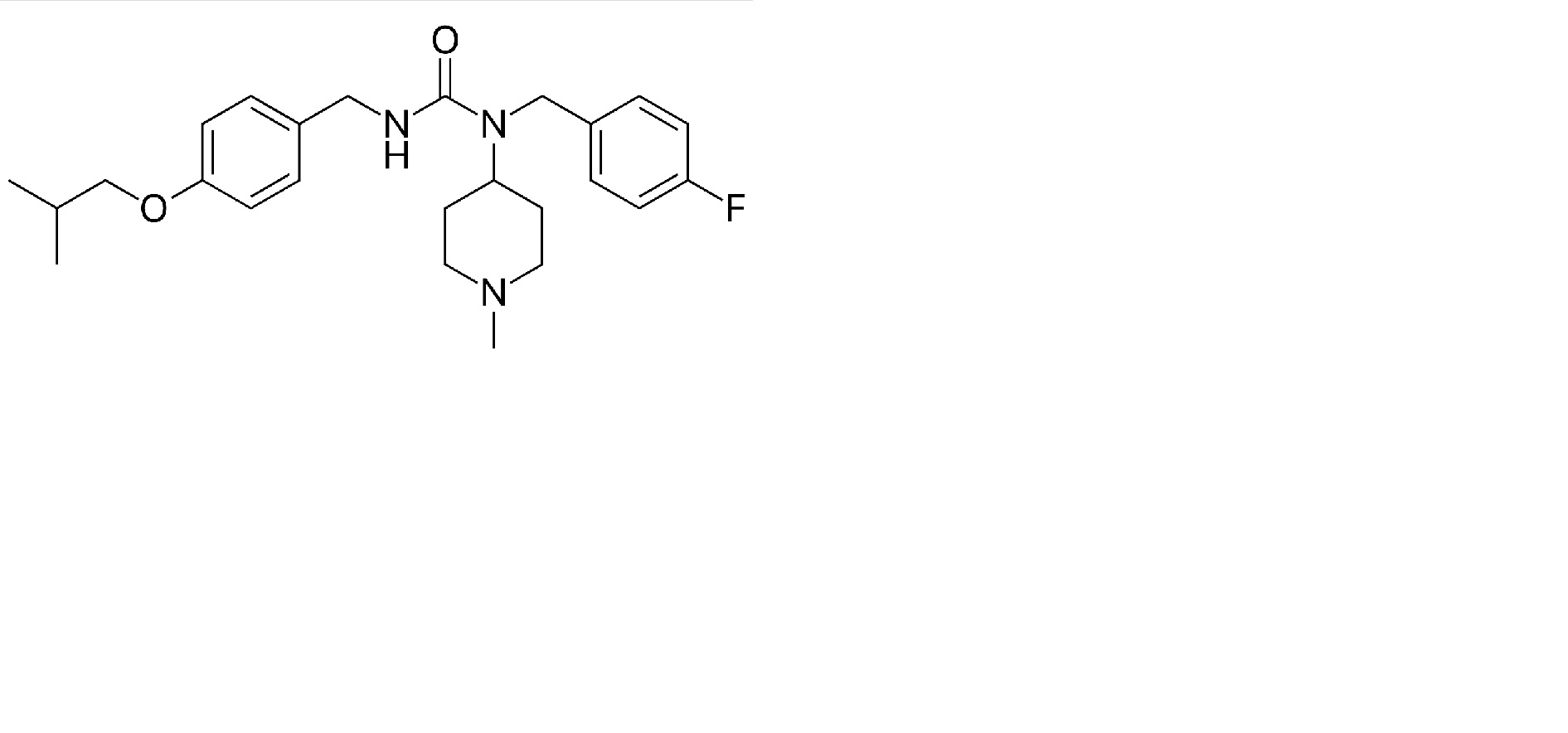
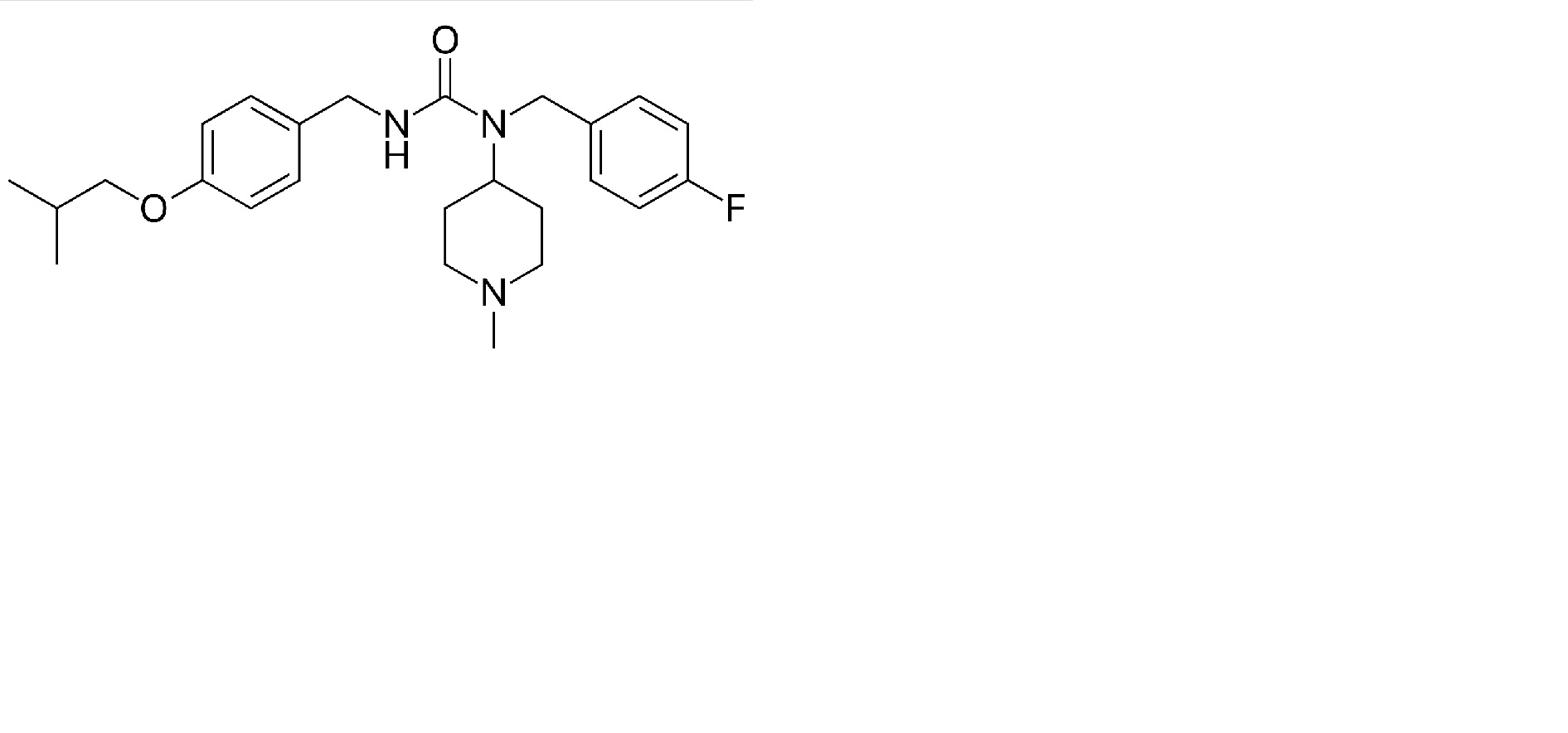
   Structure chimique  

Solution buvable
Stabilité des préparations   Solution buvable   Stabilité des préparations : Pimavanserin     
Contenant Origine Excipient Température Conservation Durée de stabilité Bibliographie
Non précisé Gélules 34 mg
Nuplazid®
Eau purifiée >> 40 mL
25°C Non précisée
24 Heure
4484
Non précisé Gélules 34 mg
Nuplazid®
Jus d'orange >> 60 mL
25°C Non précisée
24 Heure
4484
Non précisé Gélules 34 mg
Nuplazid®
Compote de pommes >> 40 g
25°C Non précisée
24 Heure
4484

  Mentions Légales