zadnja posodobitev :
27/01/2026
anti-demenca   Pimavanserin  
Peroralna raztopina
Stabilnost farmacevtskih preparatov Stabilnost mešanice Faktorji, ki vplivajo na stabilnost Kompatibilnost Viri pdf
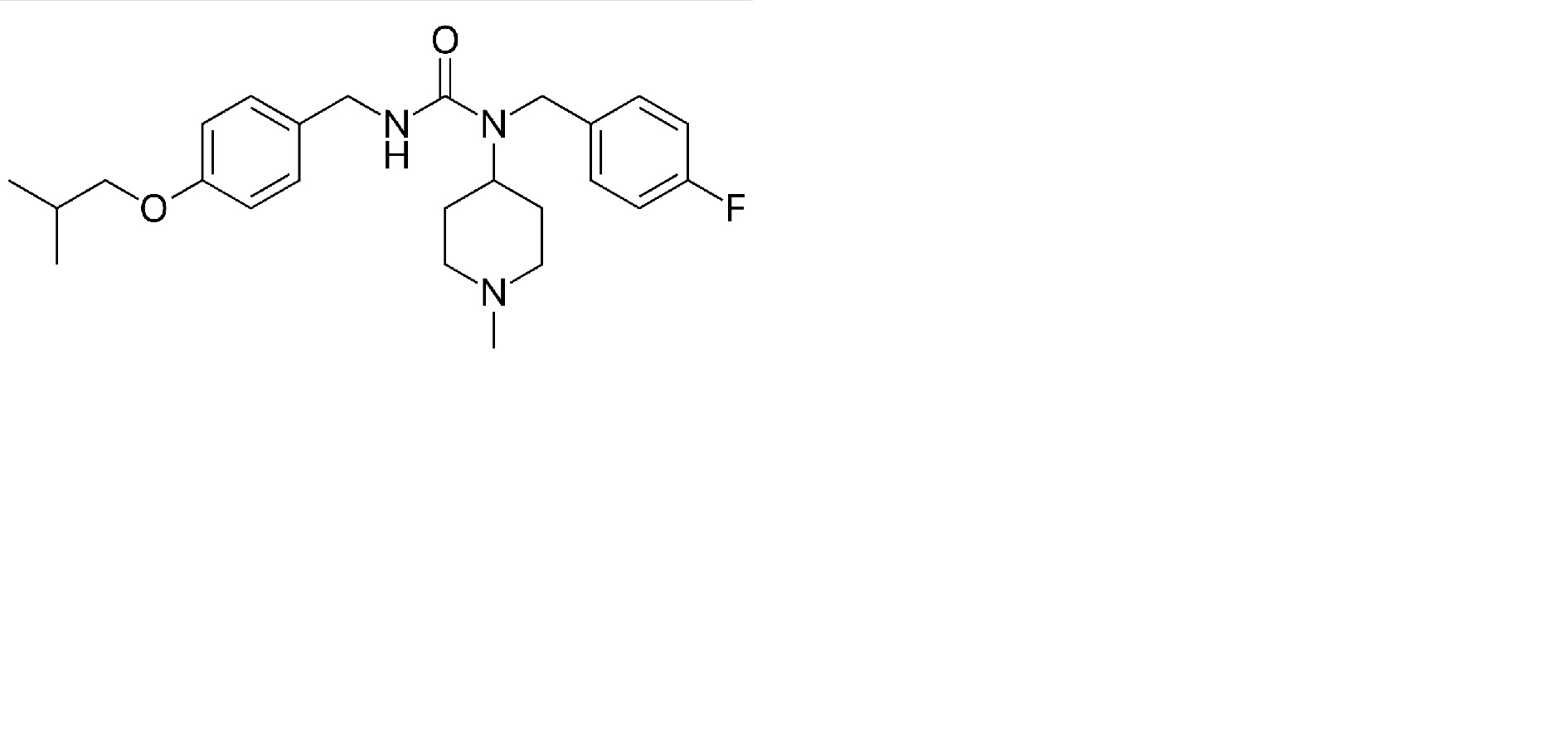
   Kemična formula  

Peroralna raztopina
Stabilnost farmacevtskih preparatov   Peroralna raztopina   Stabilnost farmacevtskih preparatov : Pimavanserin     
Vsebnik Origine Ekscipient Temperatura Shranjevanje Trajanje stabilnosti Viri
Nedoločeno Kapsule 34 mg
Nuplazid®
Prečiščena voda >> 40 mL
25°C Nedoločeno
24 čas
4484
Nedoločeno Kapsule 34 mg
Nuplazid®
Pomarančni sok >> 60 mL
25°C Nedoločeno
24 čas
4484
Nedoločeno Kapsule 34 mg
Nuplazid®
Jabolčna čežana >> 40 g
25°C Nedoločeno
24 čas
4484

  Mentions Légales