viimane versioon :
27/01/2026
anti dementsus   Pimavanserin  
suukaudne lahus
Stabiilsust ravimpreparaadid Stabiilsust mõjutavad tegurid stabiilsust mõjutavad faktorid Sobimatus Viited pdf
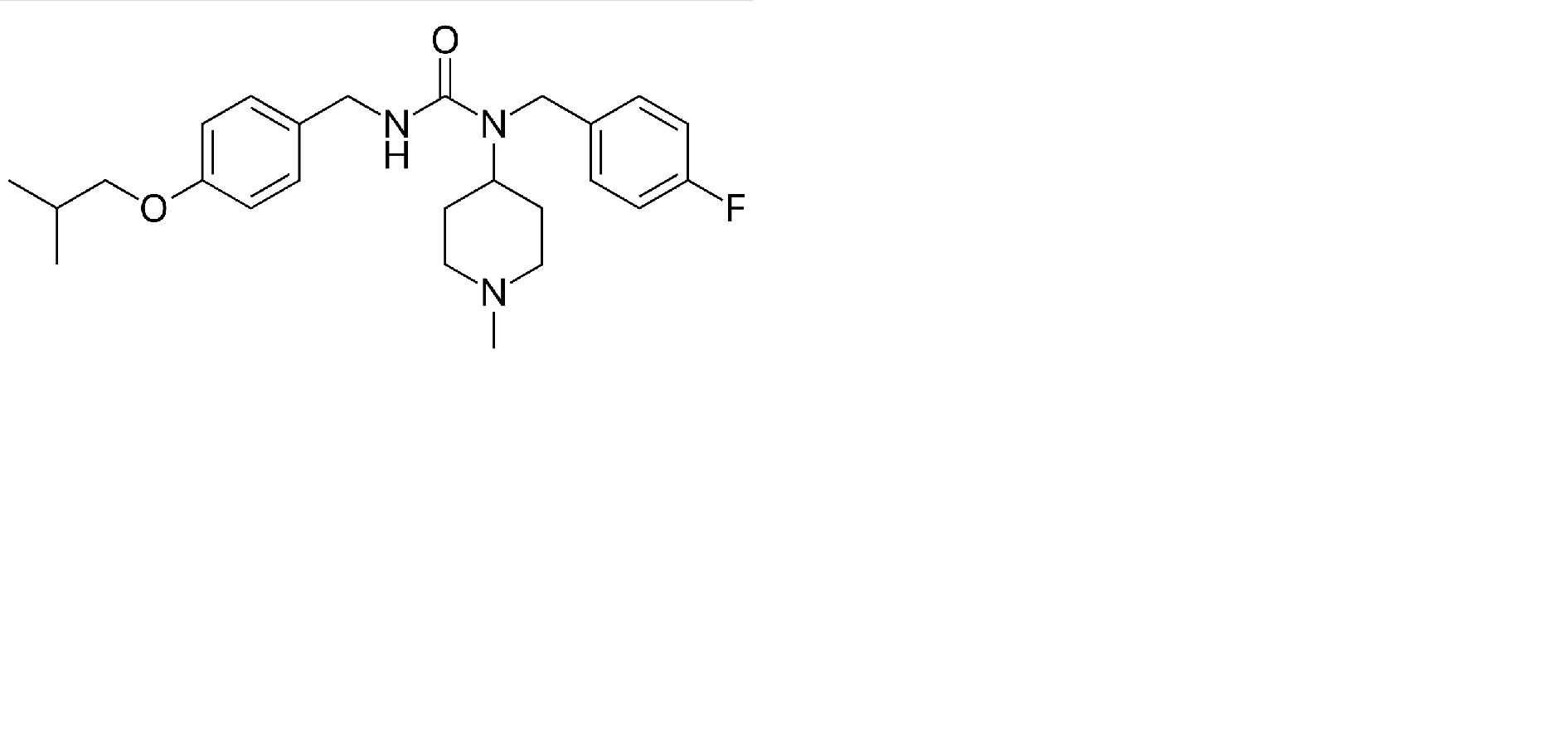
   keemiline struktuur  

suukaudne lahus
Stabiilsust ravimpreparaadid   suukaudne lahus   Stabiilsust ravimpreparaadid : Pimavanserin     
konteiner Origine  abiaine temperatuur ladustamine Stabiilsuse kestus Viited
pole täpsustatud Kapslid 34 mg
Nuplazid®
Puhastatud vesi >> 40 mL
25°C pole täpsustatud
24 Tund
4484
pole täpsustatud Kapslid 34 mg
Nuplazid®
apelsinimahl >> 60 mL
25°C pole täpsustatud
24 Tund
4484
pole täpsustatud Kapslid 34 mg
Nuplazid®
Õunamoos >> 40 g
25°C pole täpsustatud
24 Tund
4484

  Mentions Légales