Ostatnia aktualizacja :
05/12/2025
Infostab
Listy
Listy
Szukaj zgodności
Tabela kompatybilności Y-site
Bibliografia
Zespoły badawcze
valistab
plakat
Połączenia
sponsorzy
Autor
Przewodnik użytkoywnika
Biuletynu
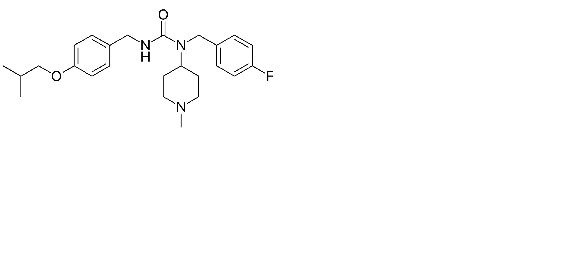
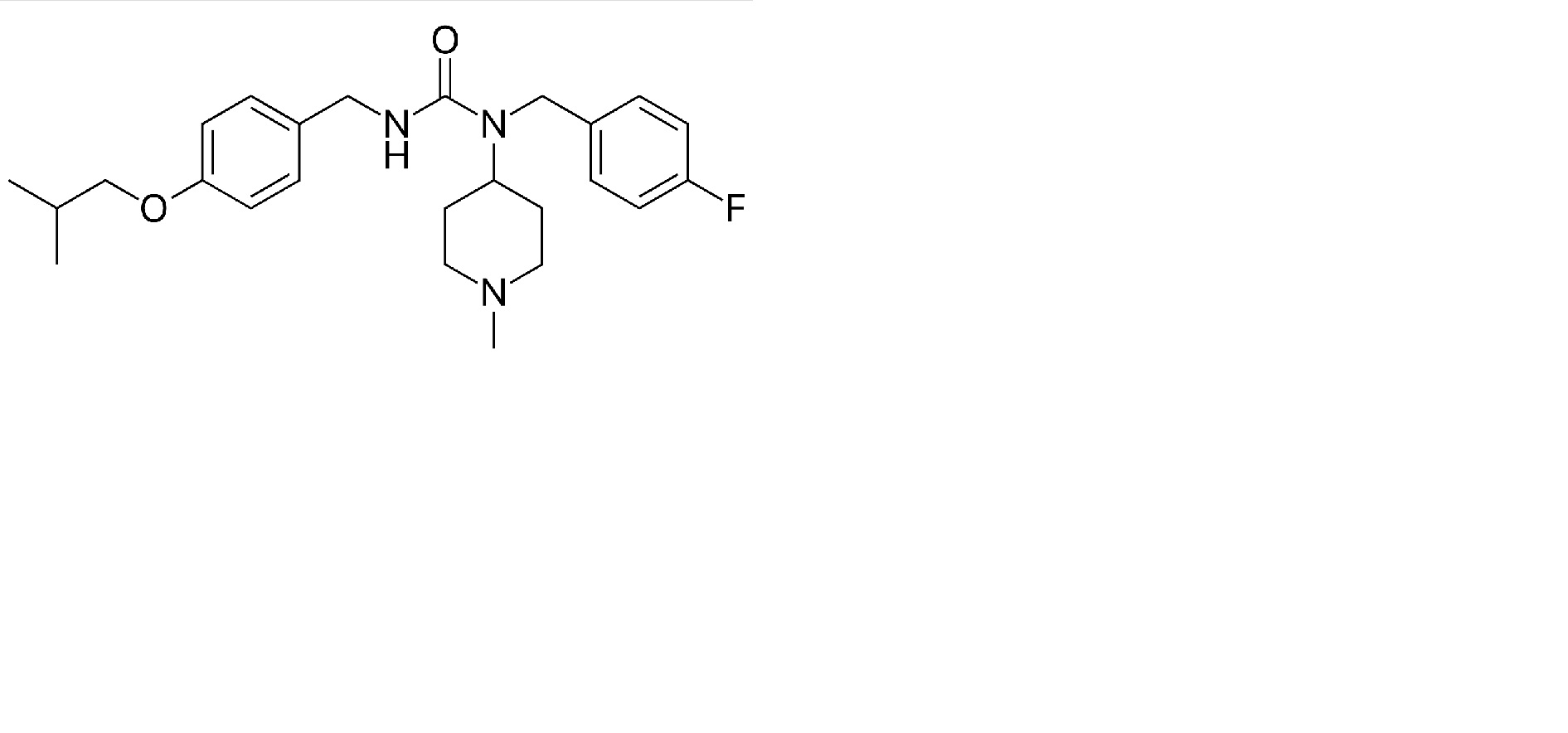
Pimavanserin
Struktura chemiczna
Stabilność preparatów farmaceutycznych : Pimavanserin
34 mg
Nuplazid®
Woda oczyszczona
>> 40 mL
25°C
24
4484
34 mg
Nuplazid®
Sok pomarańczowy
>> 60 mL
25°C
24
4484
34 mg
Nuplazid®
Mus jabłkowy
>> 40 g
25°C
24
4484
Mentions Légales