Siste oppdatering :
27/01/2026
anti demens   Pimavanserin  
Mikstur
Stabilitet av farmasøytiske preparater Stabilitet i blandinger Faktorer som påvirker stabiliteten Kompatibilitet Referanser pdf
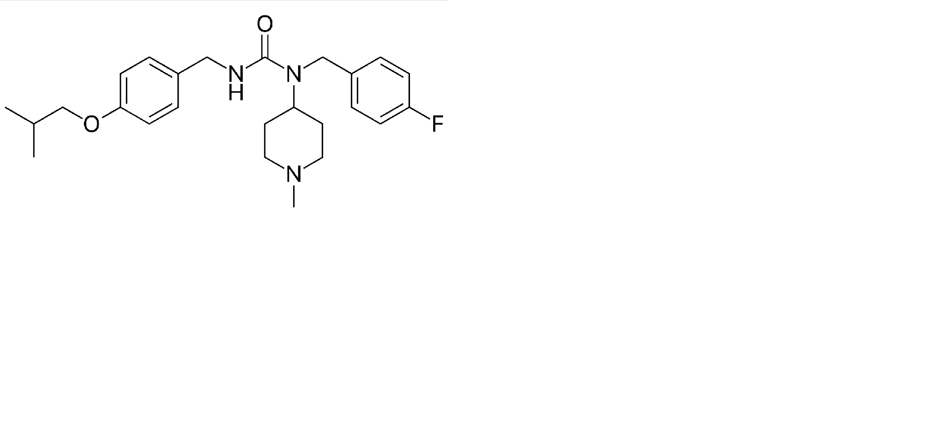
   Kjemisk struktur  

Mikstur
Stabilitet av farmasøytiske preparater   Mikstur   Stabilitet av farmasøytiske preparater : Pimavanserin     
Beholder Origine Hjelpestoff Temperatur Oppbevaring Varighet av stabilitet Referanser
Ikke angitt Kapsler 34 mg
Nuplazid®
Renset vann >> 40 mL
25°C Ikke angitt
24 Tid
4484
Ikke angitt Kapsler 34 mg
Nuplazid®
Appelsinjuice >> 60 mL
25°C Ikke angitt
24 Tid
4484
Ikke angitt Kapsler 34 mg
Nuplazid®
Eplekompott >> 40 g
25°C Ikke angitt
24 Tid
4484

  Mentions Légales