最新更新 :
27/01/2026
防痴呆   Pimavanserin  
口服剂
制剂的稳定性 混合物稳定性 影响稳定性的因素 兼容性 引用文献 PDF
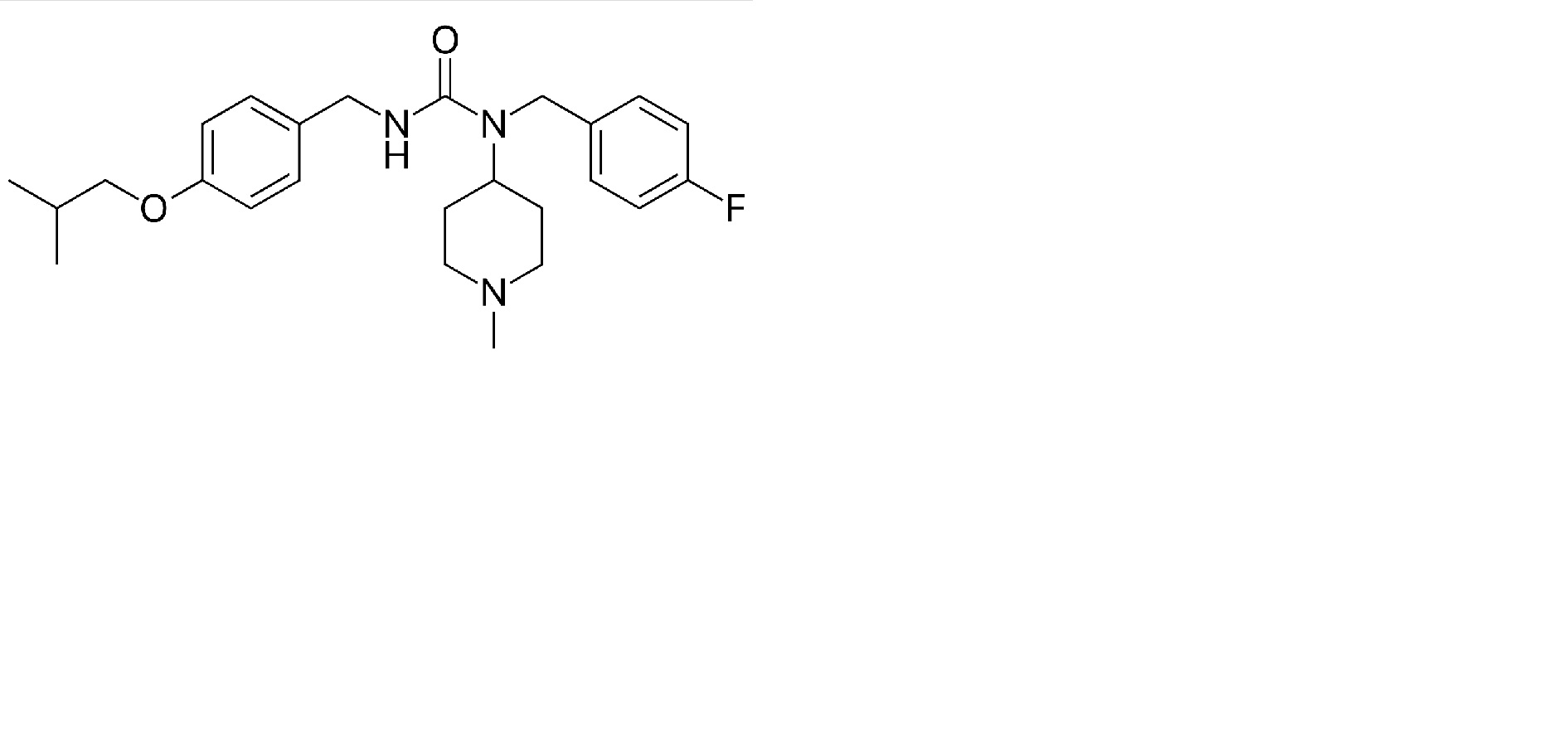
   化学式  

口服剂
制剂的稳定性   口服剂   制剂的稳定性 : Pimavanserin     
容器 Origine 添加剂 温度 保存 穩定持續時間 引用文献
不详 胶囊 34 mg
Nuplazid®
净化水 >> 40 mL
25°C 无特殊要求
24 小时
4484
不详 胶囊 34 mg
Nuplazid®
橙汁 >> 60 mL
25°C 无特殊要求
24 小时
4484
不详 胶囊 34 mg
Nuplazid®
苹果酱 >> 40 g
25°C 无特殊要求
24 小时
4484

  Mentions Légales