آخر تحديث :
27/01/2026
 مكافحة الخرف   Pimavanserin  
عن طريق الفم
استقرار المستحضرات الصيدلانية استقرار مخاليط العوامل التي تؤثر على الاستقرار التوافق مراجع pdf
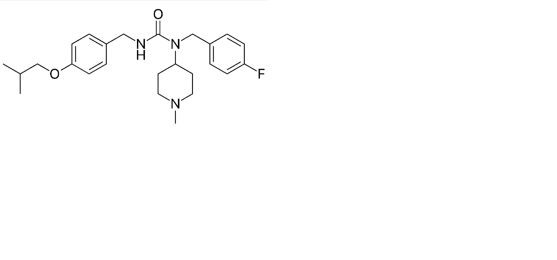
   التركيب الكيميائي  

عن طريق الفم
استقرار المستحضرات الصيدلانية   عن طريق الفم     استقرار المستحضرات الصيدلانية : Pimavanserin     
حاوية Origine الاضافات درجة الحرارة تخزين مدة الاستقرار مراجع
لم يتم تحديد كبسولات 34 mg
Nuplazid®
تنقية المياه >> 40 mL
25°C لم يتم تحديد
24 ساعة
4484
لم يتم تحديد كبسولات 34 mg
Nuplazid®
عصير البرتقال >> 60 mL
25°C لم يتم تحديد
24 ساعة
4484
لم يتم تحديد كبسولات 34 mg
Nuplazid®
عصير التفاح >> 40 g
25°C لم يتم تحديد
24 ساعة
4484

  Mentions Légales