Utolsó frissítés :
27/01/2026
anti demencia   Pimavanserin  
belsőleges oldat
Stabilitása gyógyszerészeti készítmények A keverékek stabilitása Stabilitást befolyásoló tényezők Kompatibilitás Irodalom pdf
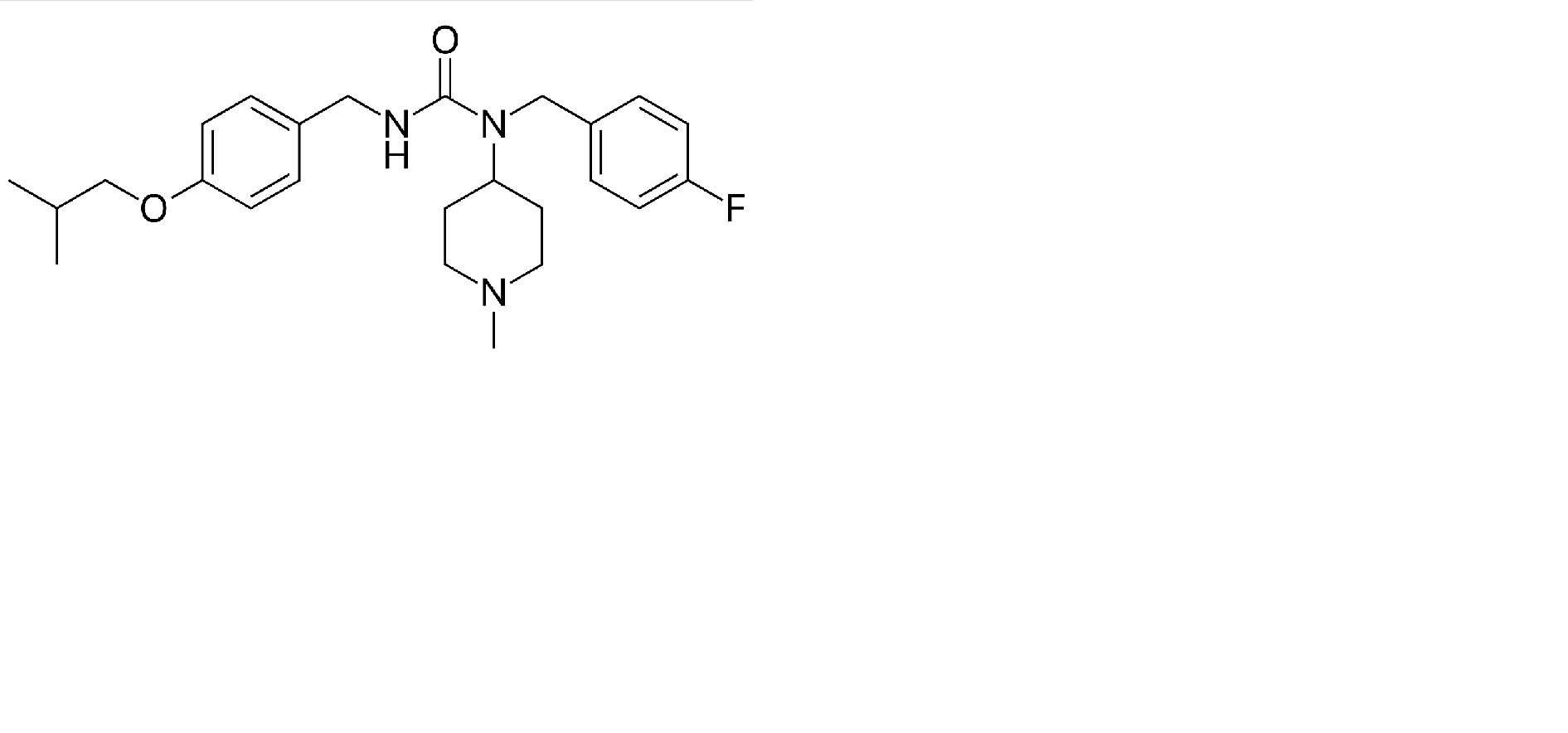
   Kémiai szerkezet   

belsőleges oldat
Stabilitása gyógyszerészeti készítmények   belsőleges oldat   Stabilitása gyógyszerészeti készítmények : Pimavanserin     
Csomagolás Origine segédanyag Hőmérséklet Tárolás A stabilitás időtartama Irodalom
Nincs meghatározva kapszula 34 mg
Nuplazid®
Tisztított víz >> 40 mL
25°C Nincs meghatározva
24 Óra
4484
Nincs meghatározva kapszula 34 mg
Nuplazid®
narancslé >> 60 mL
25°C Nincs meghatározva
24 Óra
4484
Nincs meghatározva kapszula 34 mg
Nuplazid®
almaszósz >> 40 g
25°C Nincs meghatározva
24 Óra
4484

  Mentions Légales