Son güncelleme :
27/04/2026
Antiaritmik   Propafenone Hydrochloride  
Oral solüsyon / oral çözelti
Enjeksiyon
Farmasötik preparatlar Kararlılığı Karışımlardaki stabilitesi Stabiliteyi etkileyen faktörler Uyumluluk Kaynaklar pdf
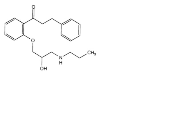
   Kimyasal yapı   

Oral solüsyon / oral çözelti

Stabiliteyi etkileyen faktörler    Oral solüsyon / oral çözelti   Stabiliteyi etkileyen faktörler : Propafenone Hydrochloride        
veri yok

  Mentions Légales