Viimeisin päivitys :
27/04/2026
Rytmihäiriölääkkeet   Propafenone Hydrochloride  
Oraaliliuos
Injektioneste
Vakaus lääkevalmisteen Stabilius seoksissa Tekijät, jotka vaikuttavat stabiliuteen Yhteensopivuus Viitteet pdf
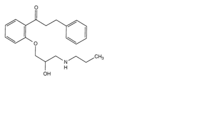
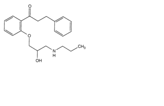
   Kemiallinen rakenne  

Oraaliliuos

Tekijät, jotka vaikuttavat stabiliuteen   Oraaliliuos   Tekijät, jotka vaikuttavat stabiliuteen : Propafenone Hydrochloride        
ei tietoa

  Mentions Légales