Seneste opdatering :
27/04/2026
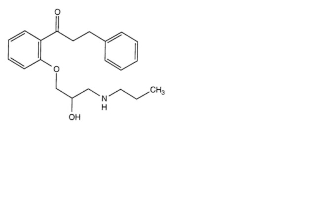
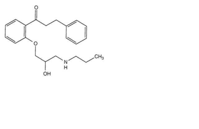
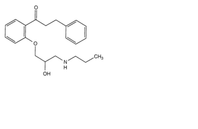
Antiarytmisk   Propafenone Hydrochloride  
Oral opløsning
Injektion
Stabilitet af farmaceutiske tilberedninger Stabilitet i blandinger Faktorer der påvirker stabiliteten Kompatibilitet Bibliografi pdf
   Kemisk struktur  

Oral opløsning

Faktorer der påvirker stabiliteten   Oral opløsning   Faktorer der påvirker stabiliteten : Propafenone Hydrochloride        
Ingen data

  Mentions Légales